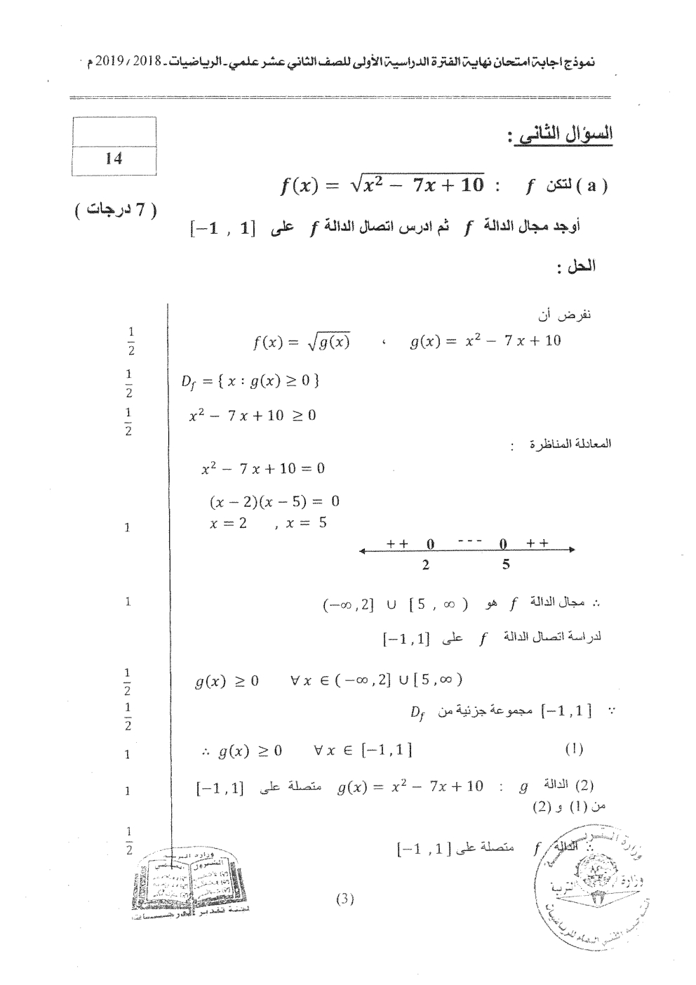
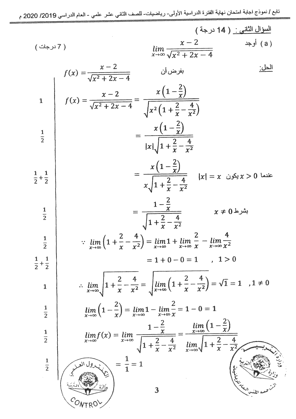
من 111