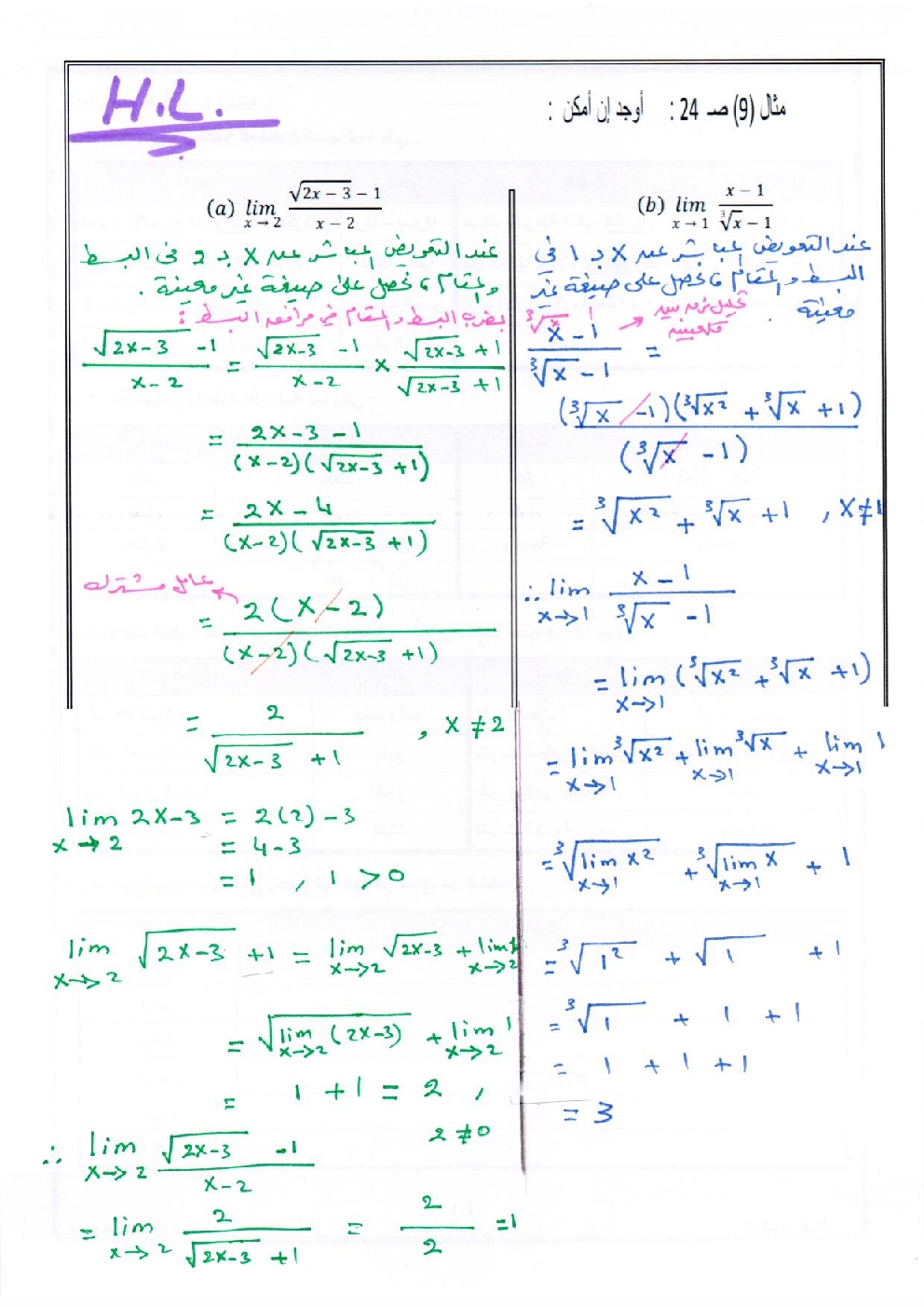
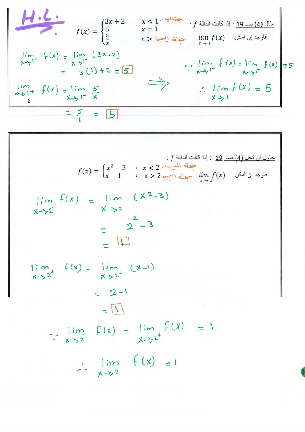
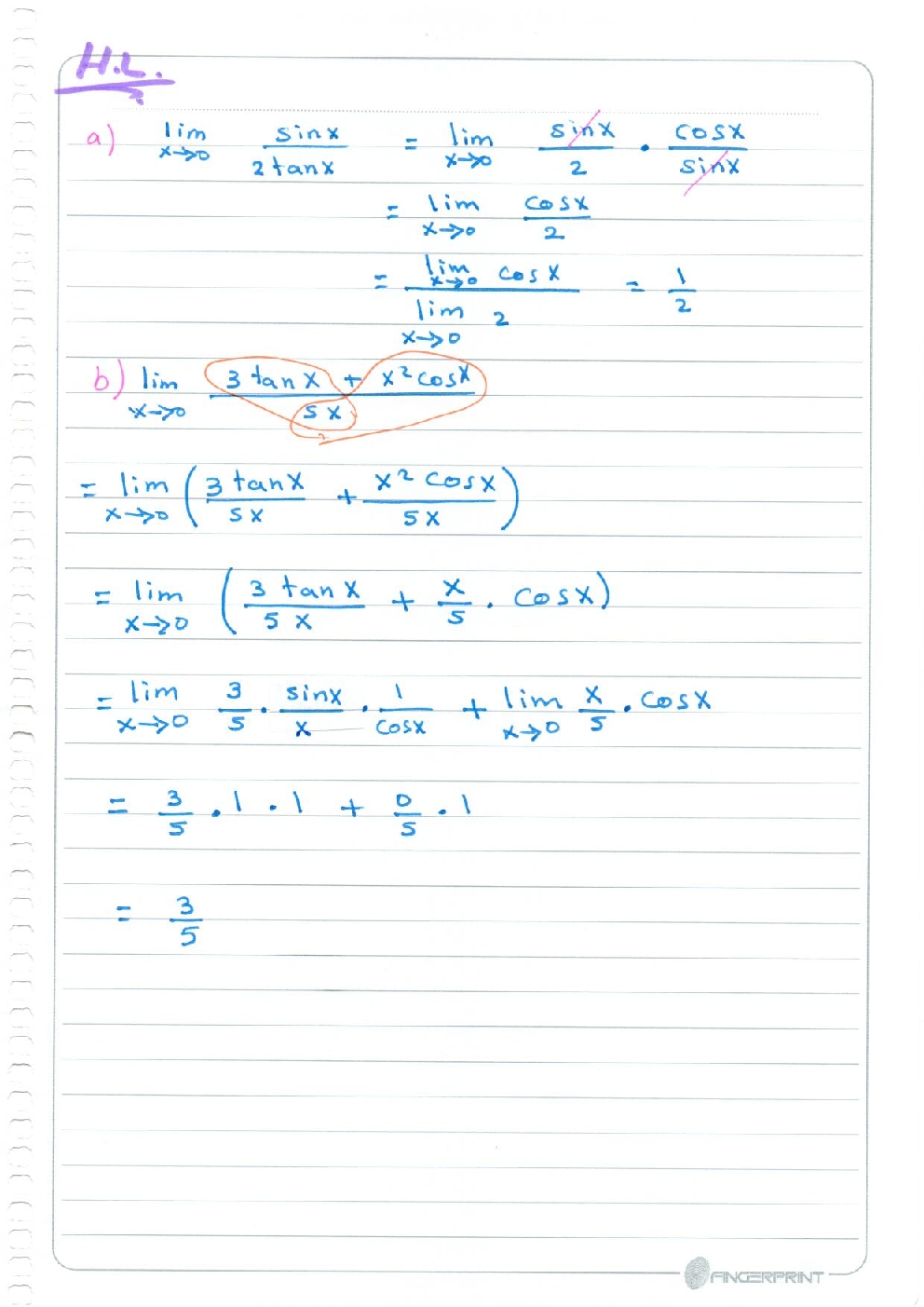
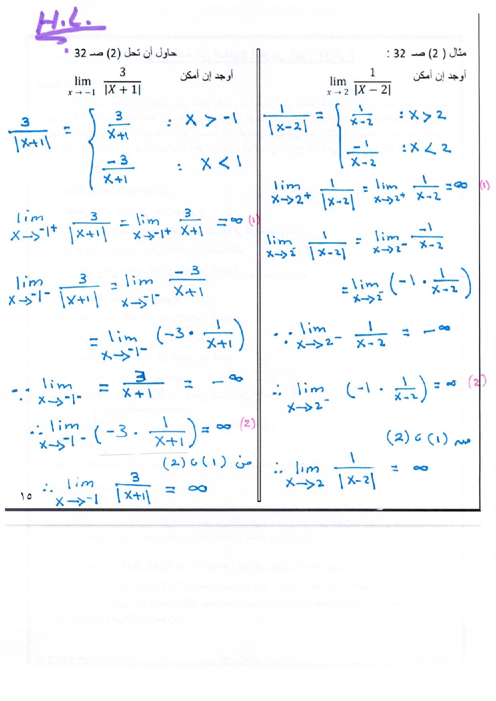
من 23