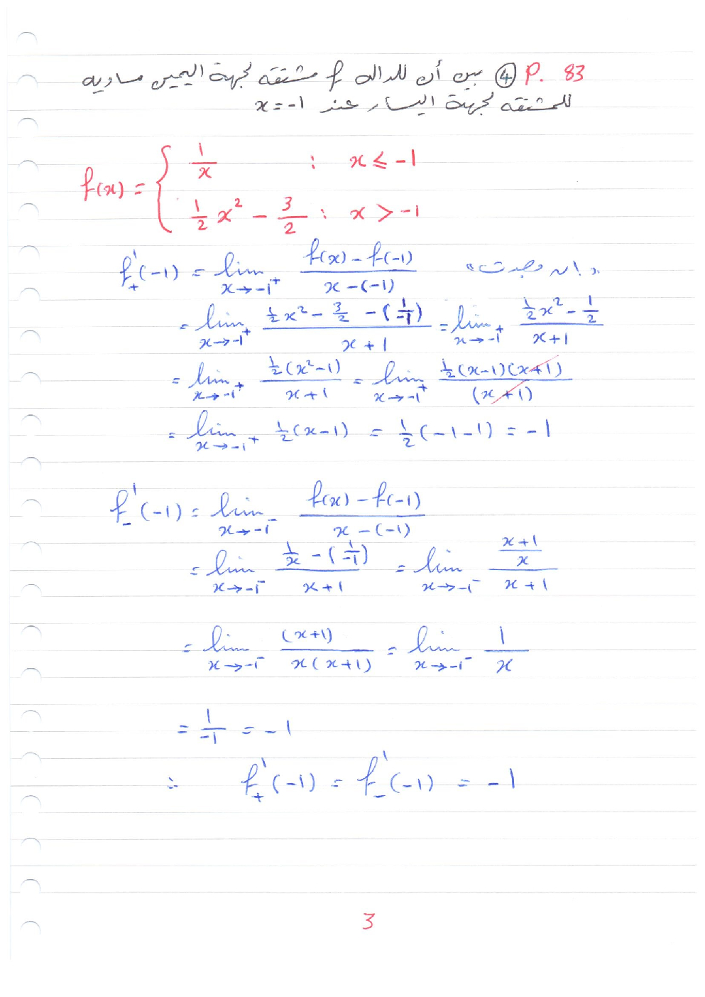
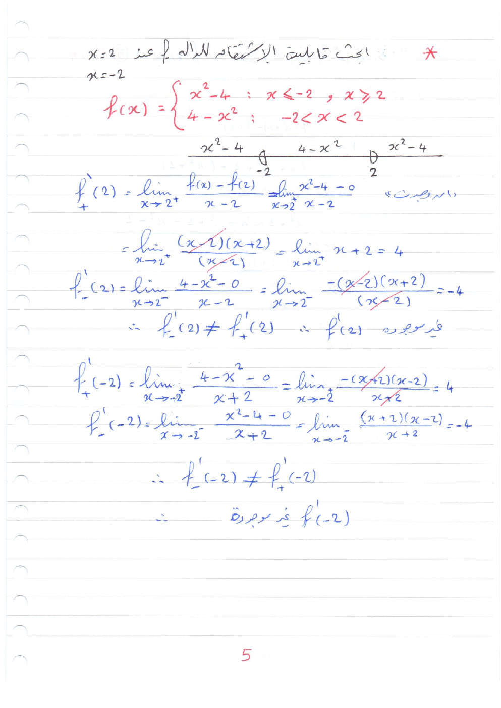
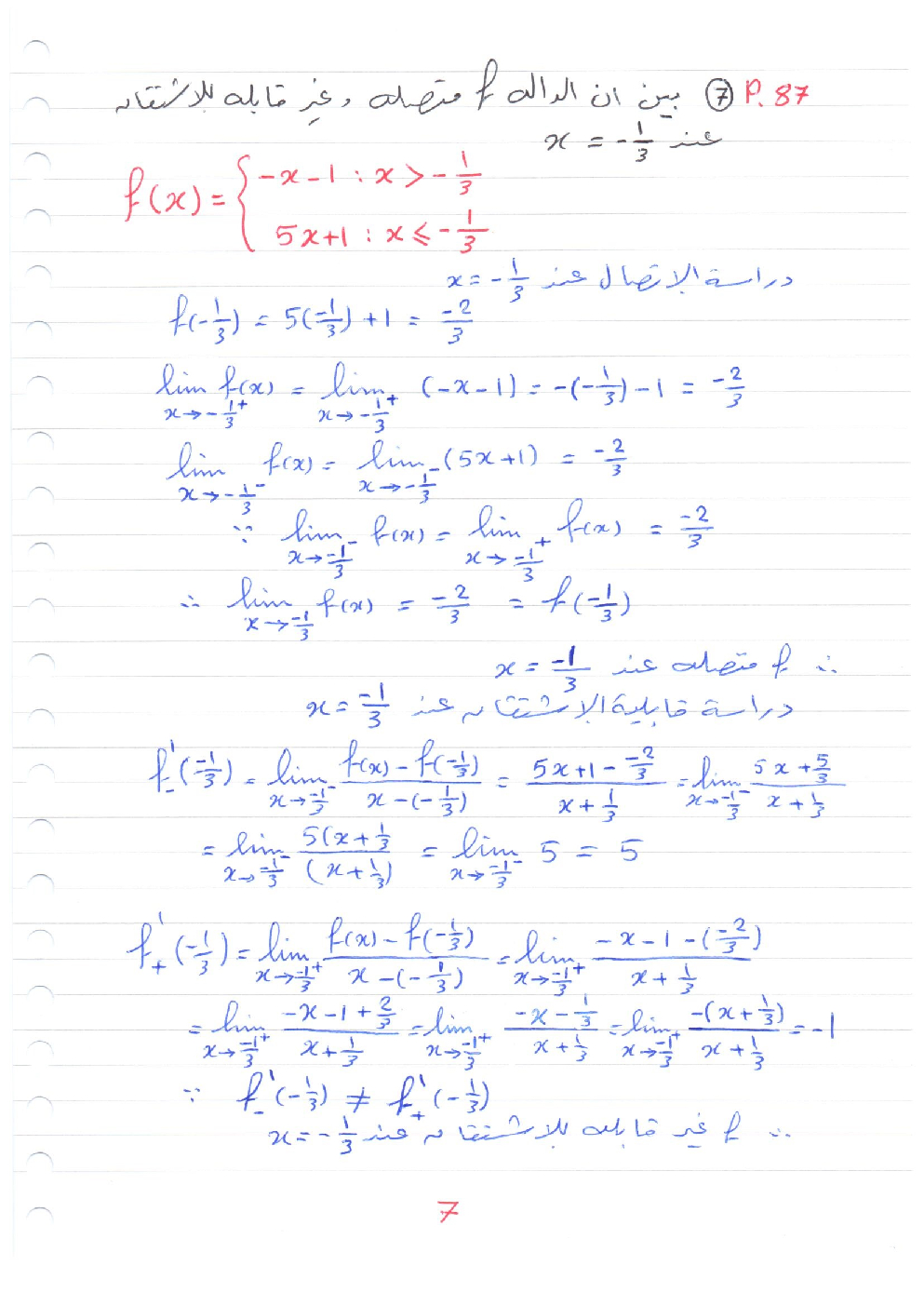
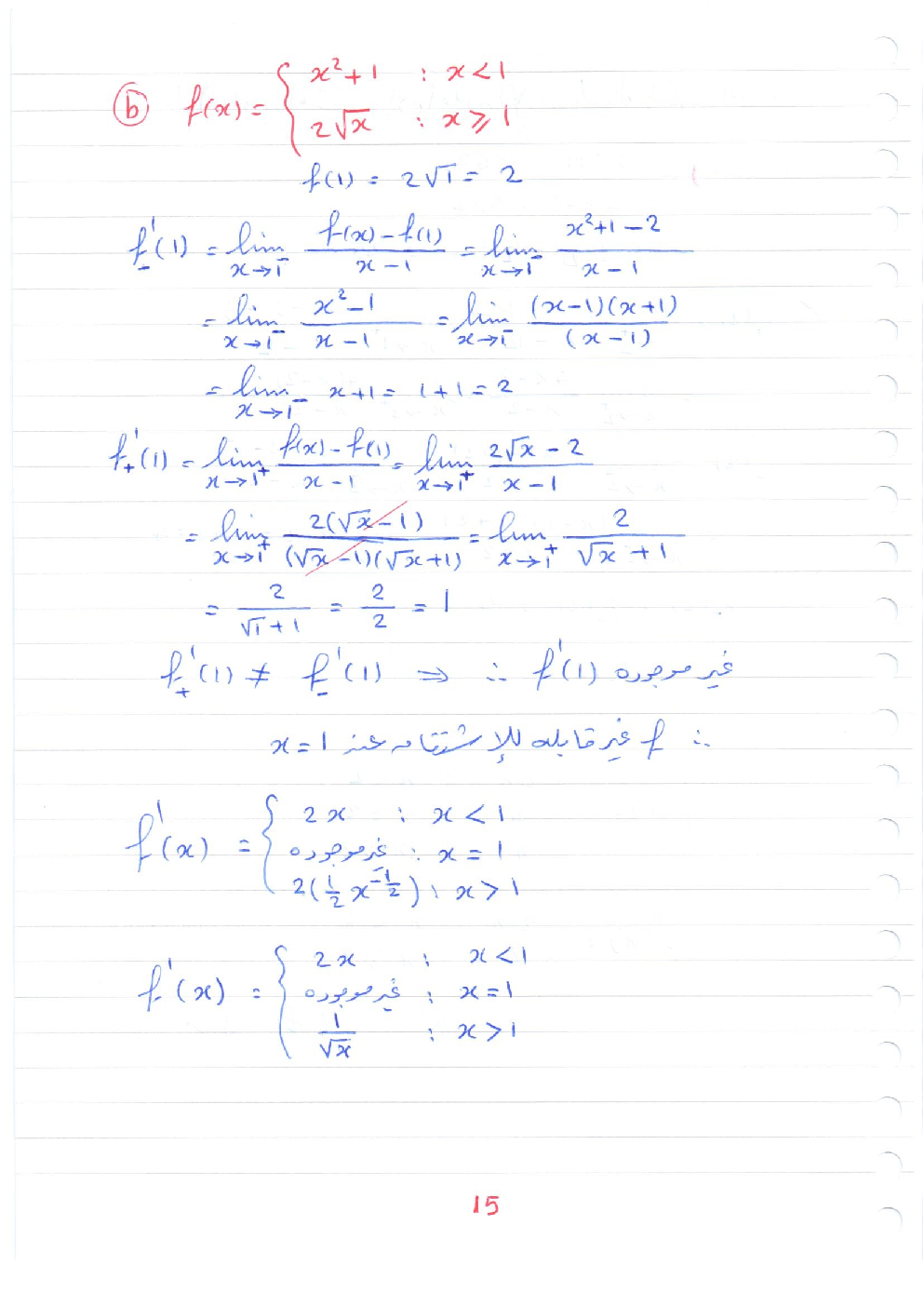
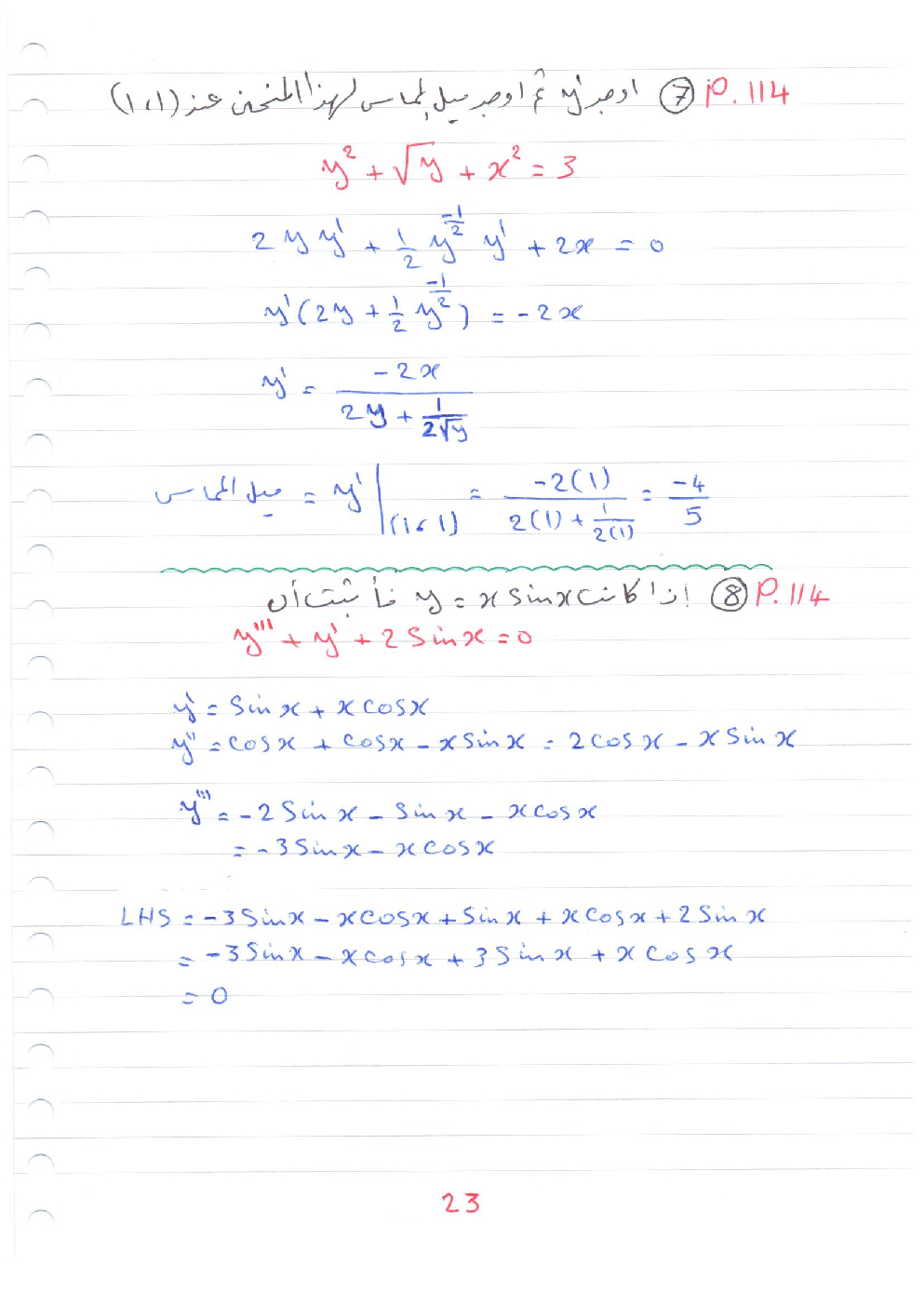
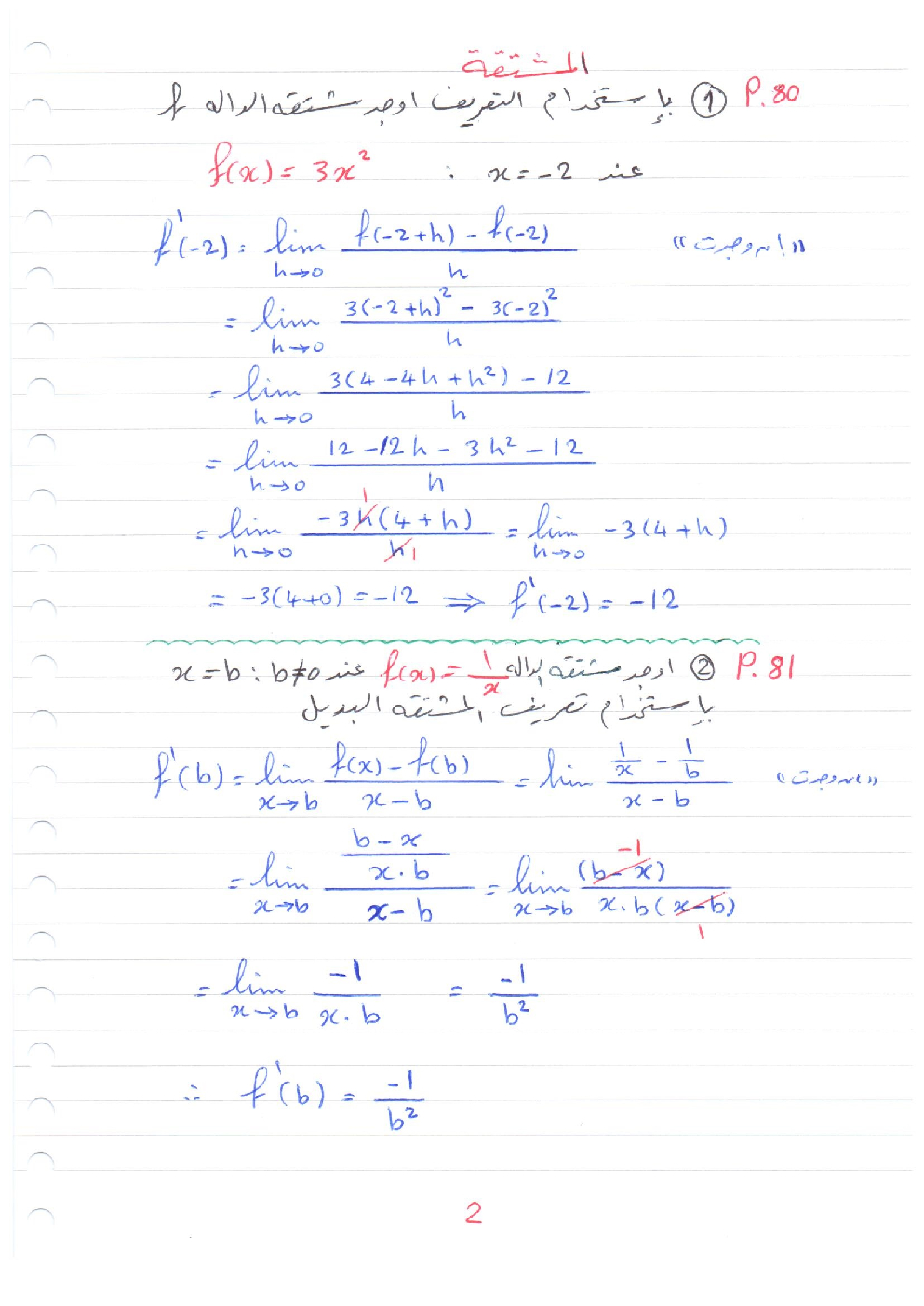
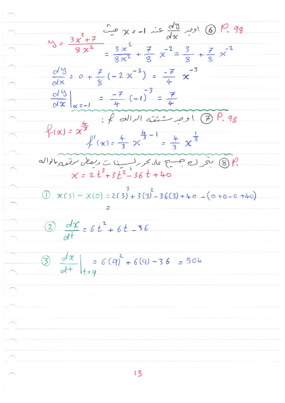
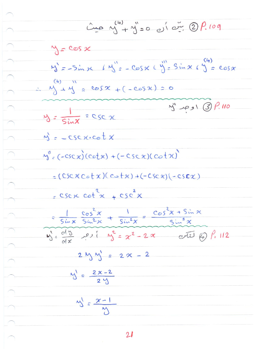
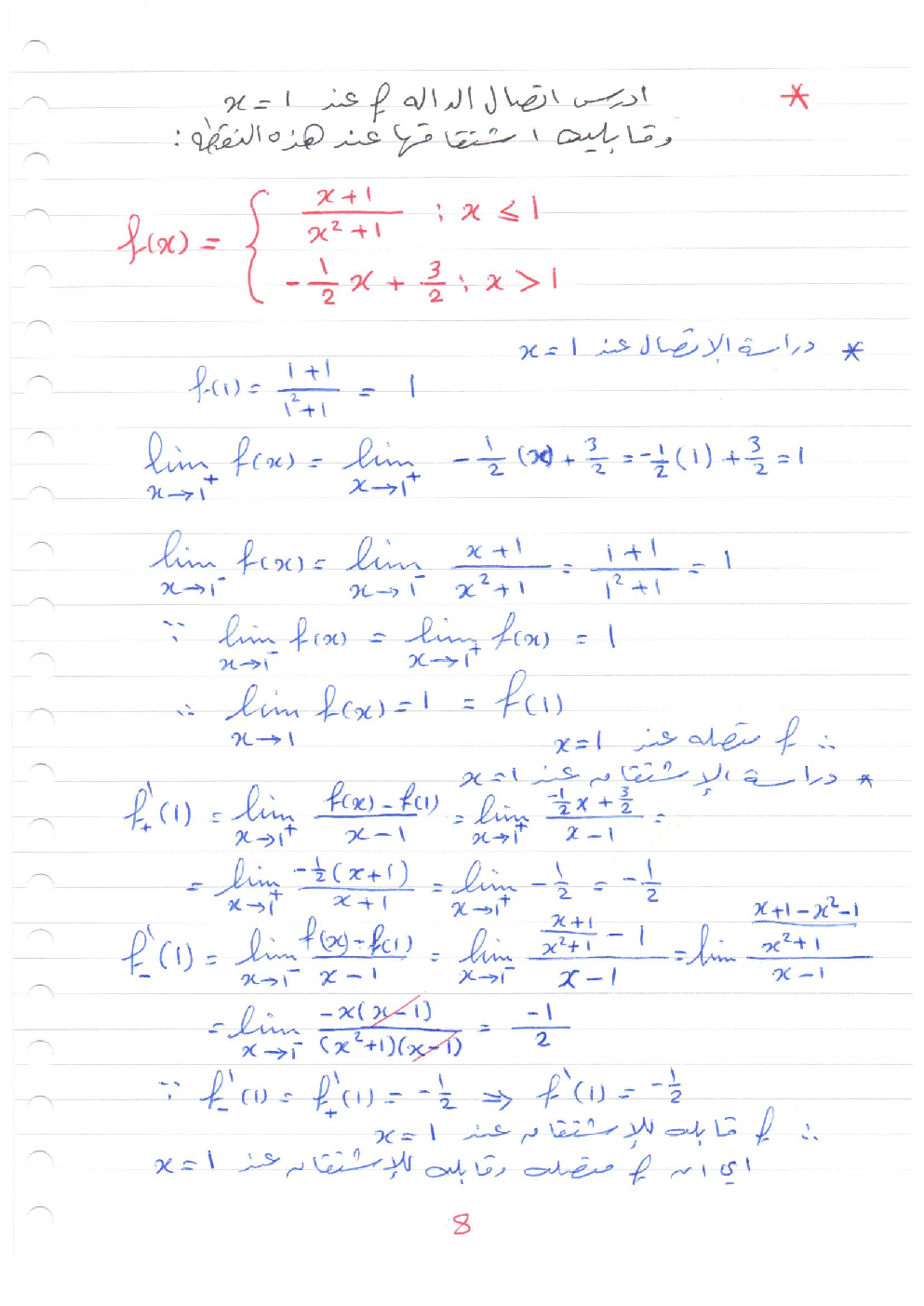
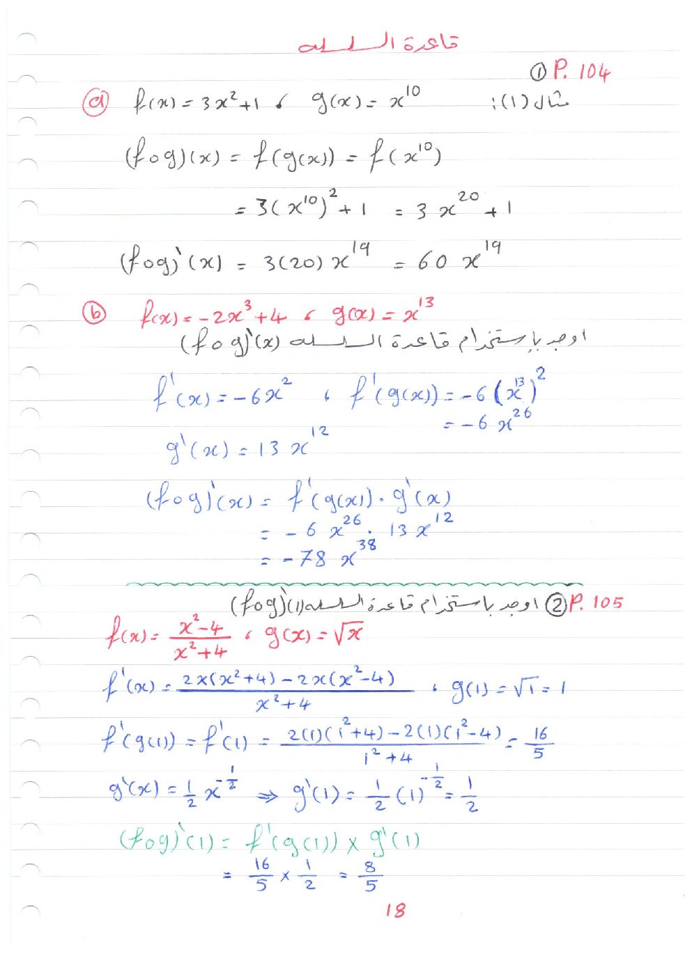
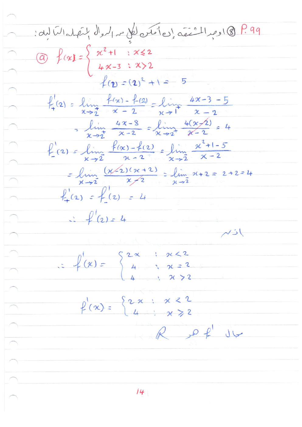
من 25