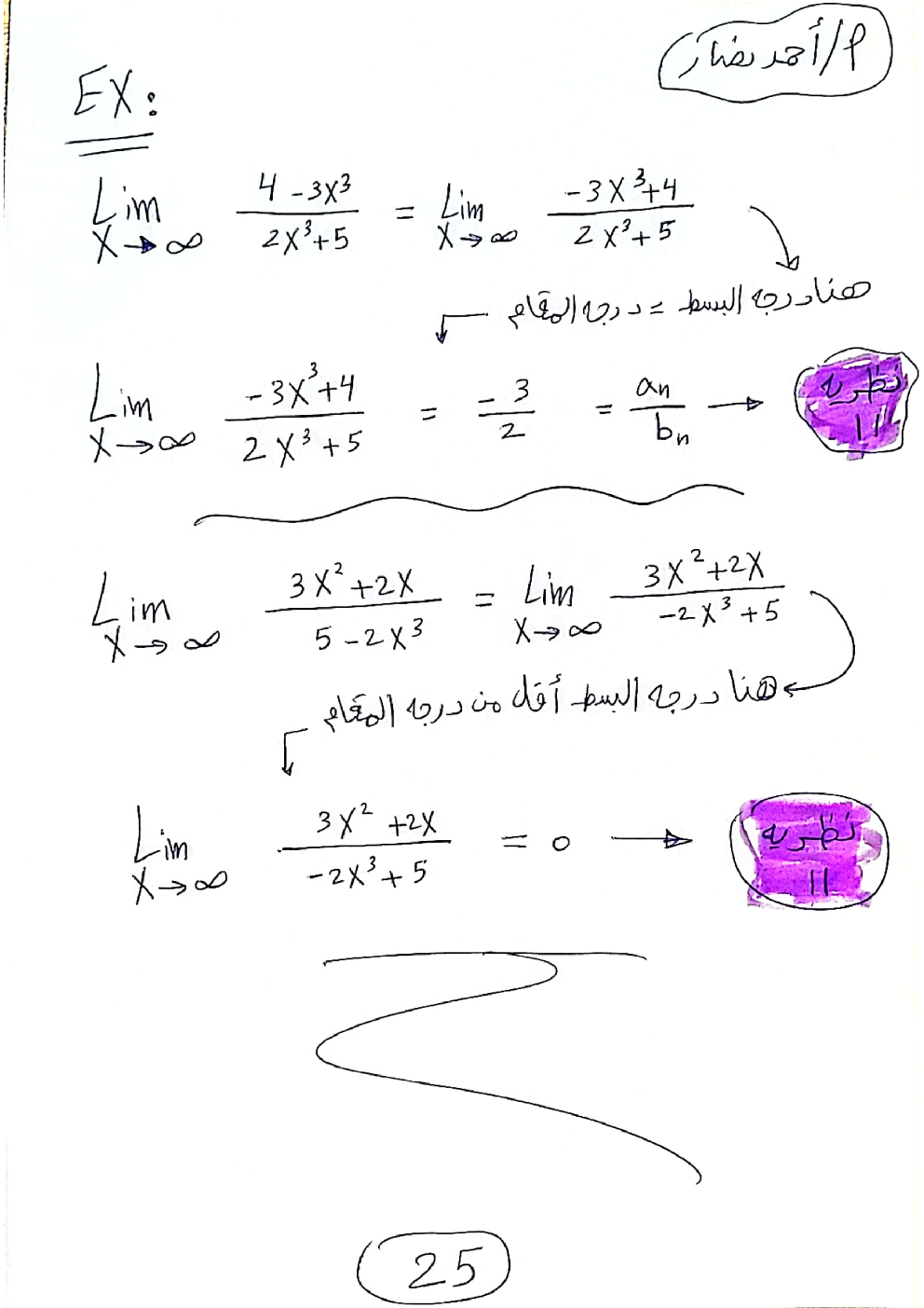
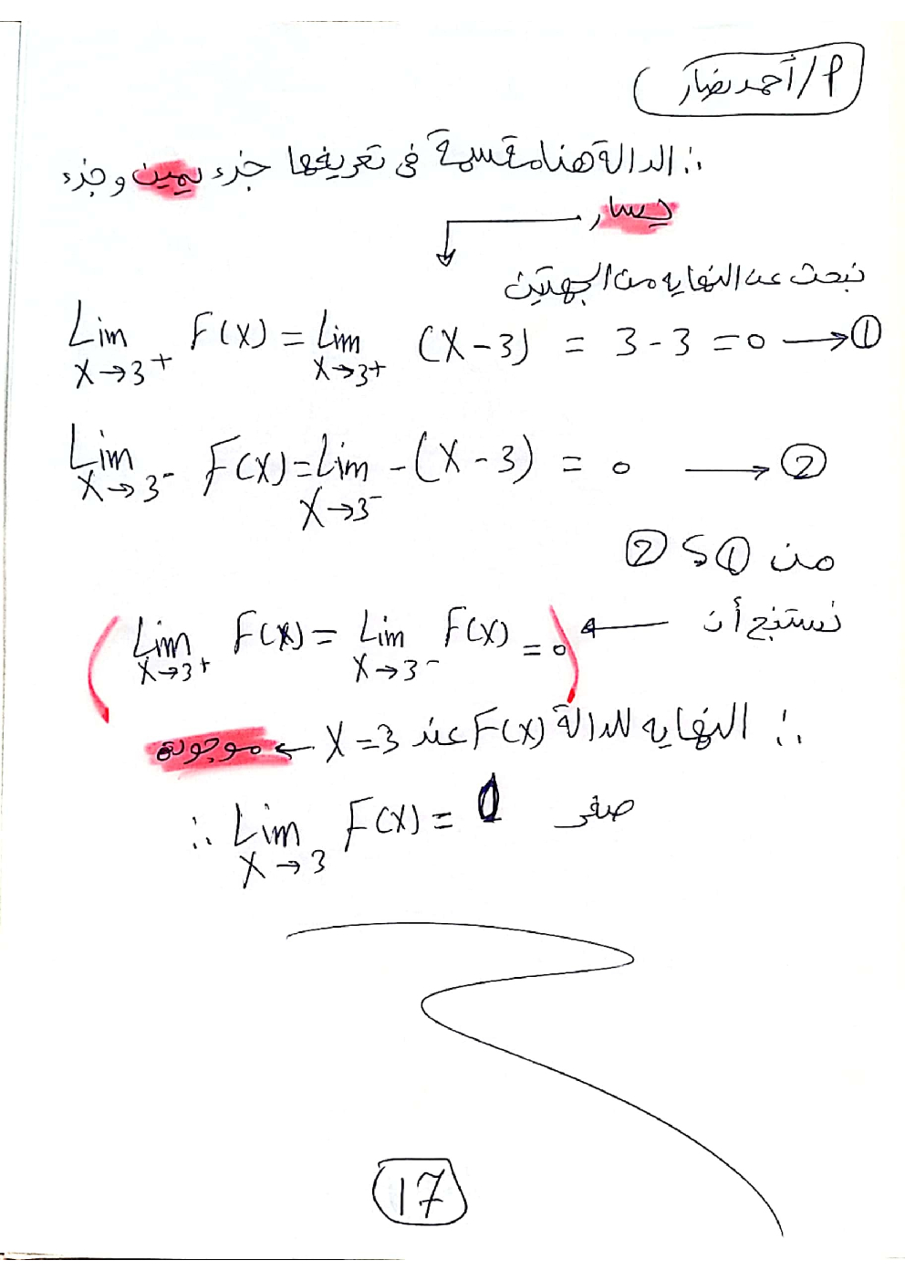
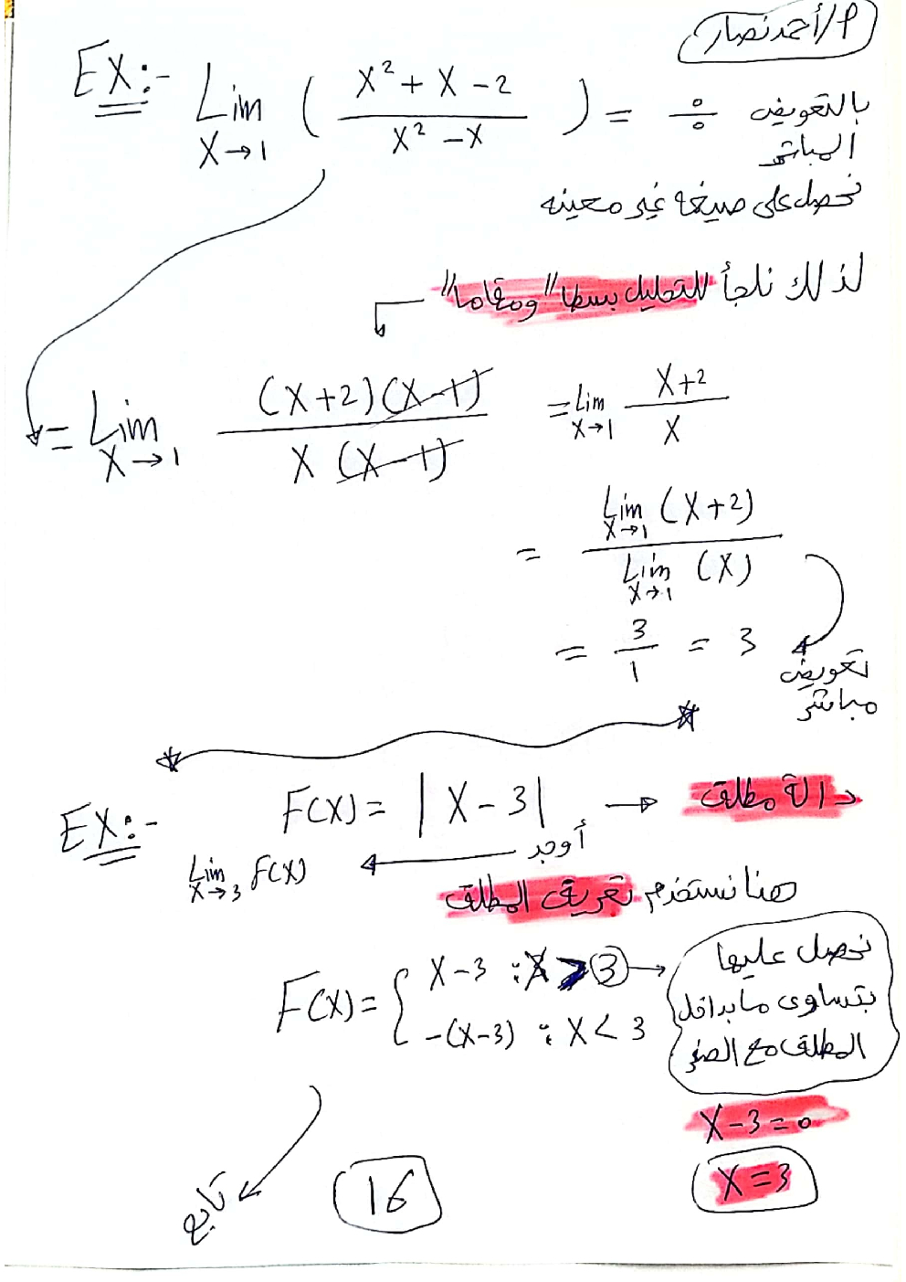
من 25