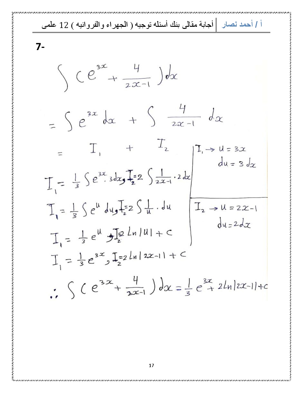
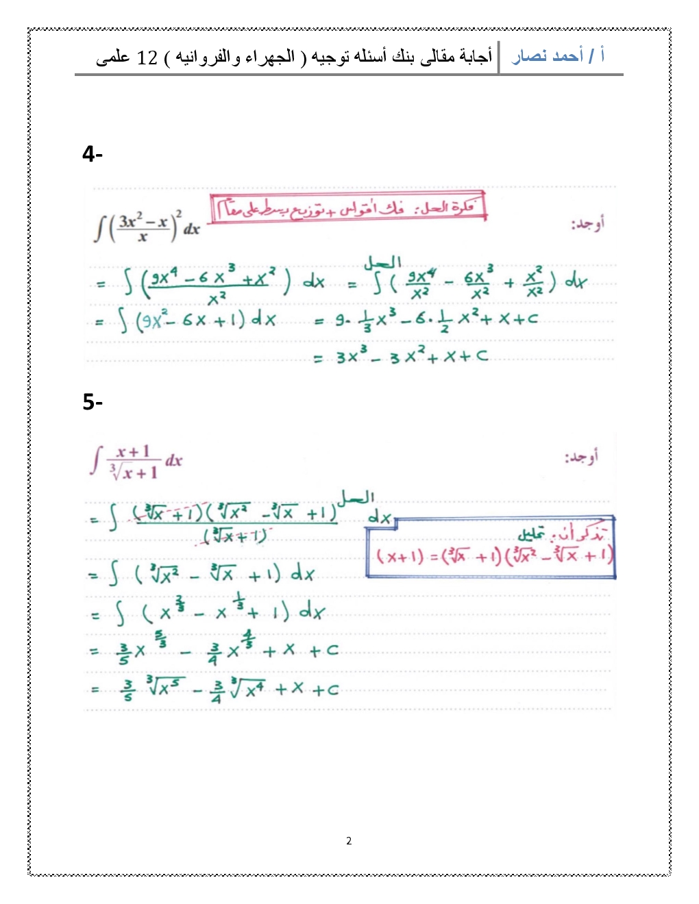
من 65