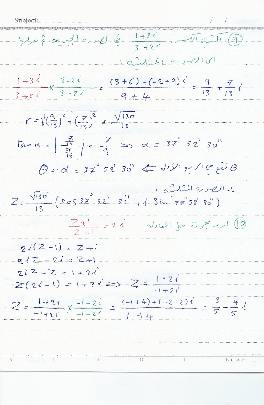
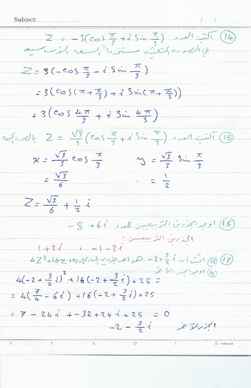
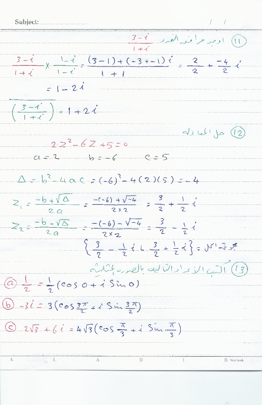
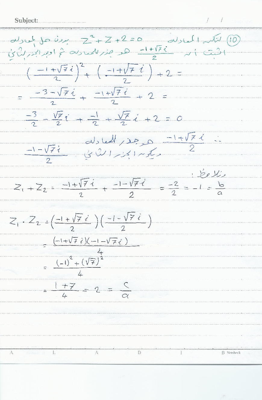
من 56