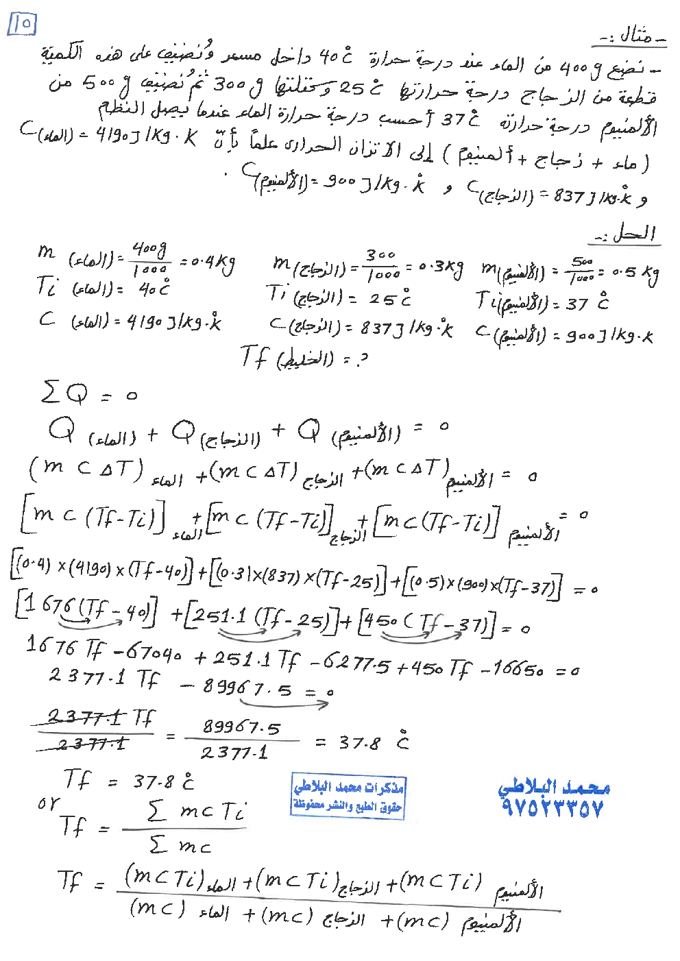
من 29