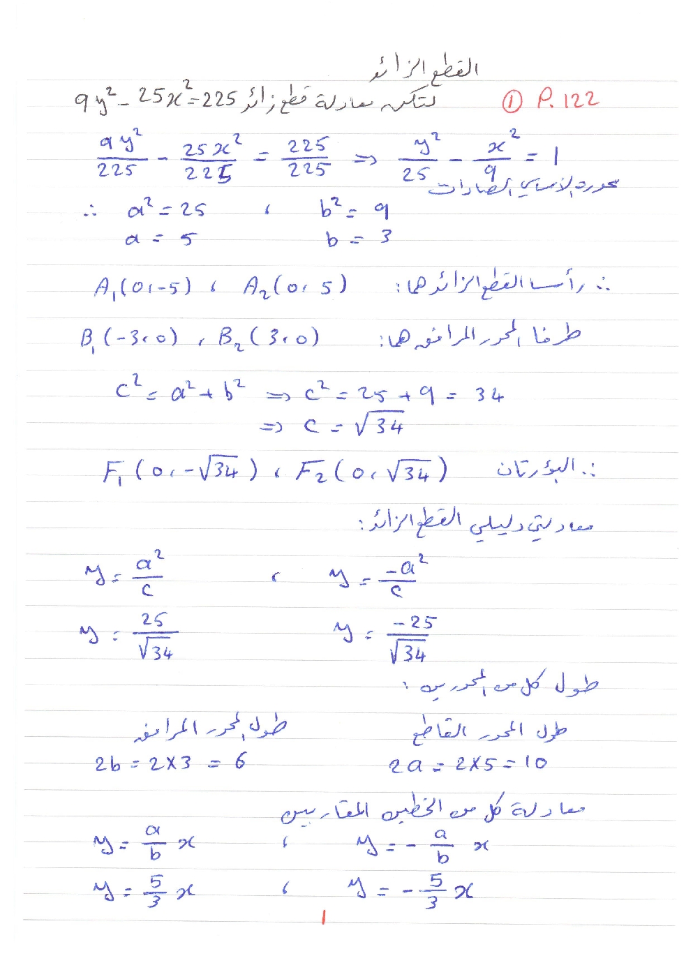
من 13