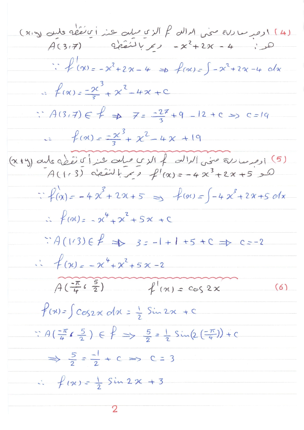
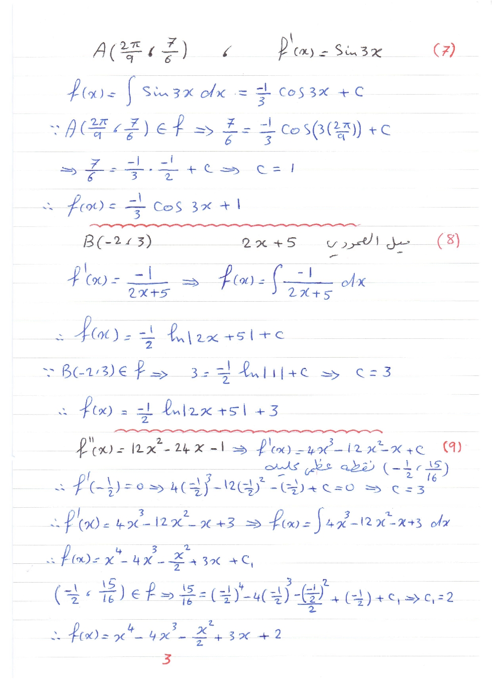
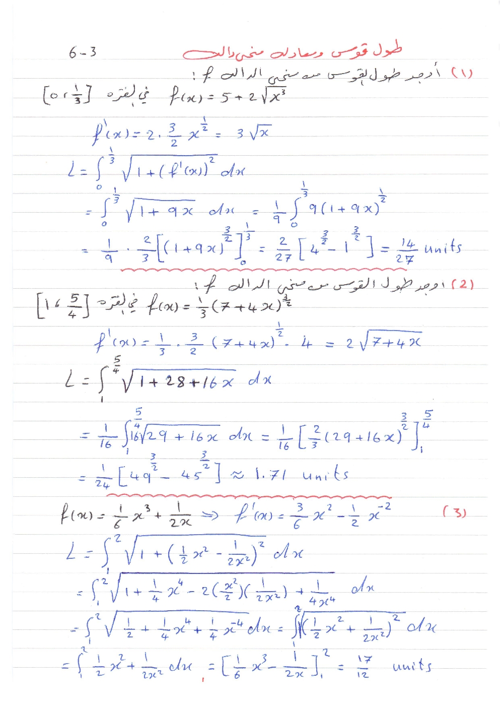
من 14