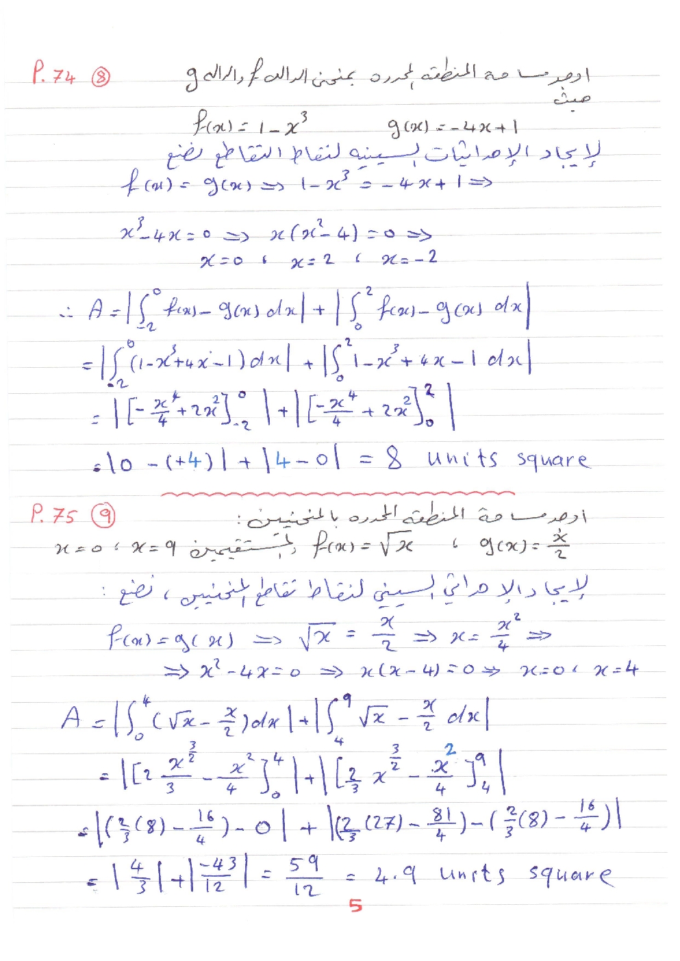
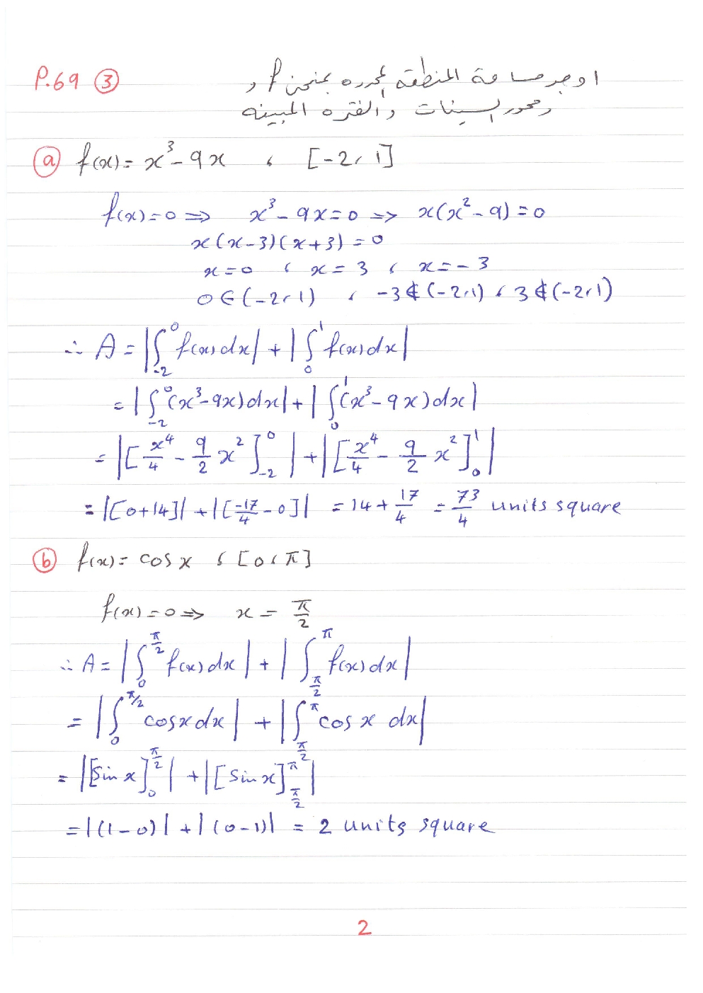
من 11