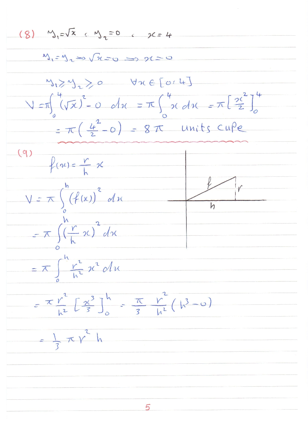
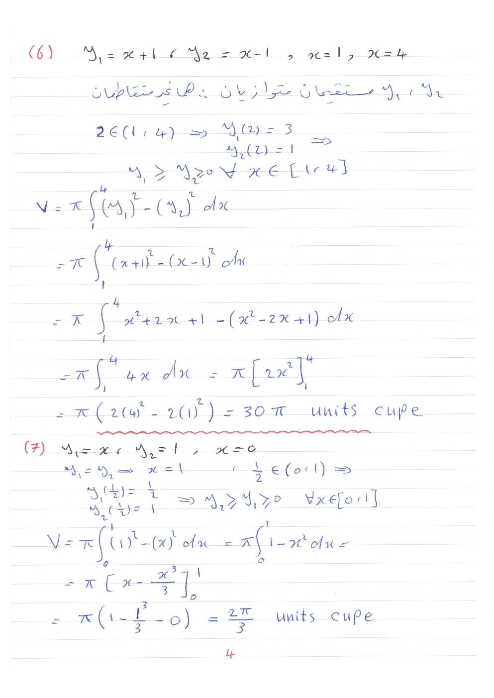
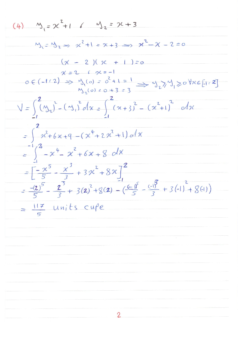
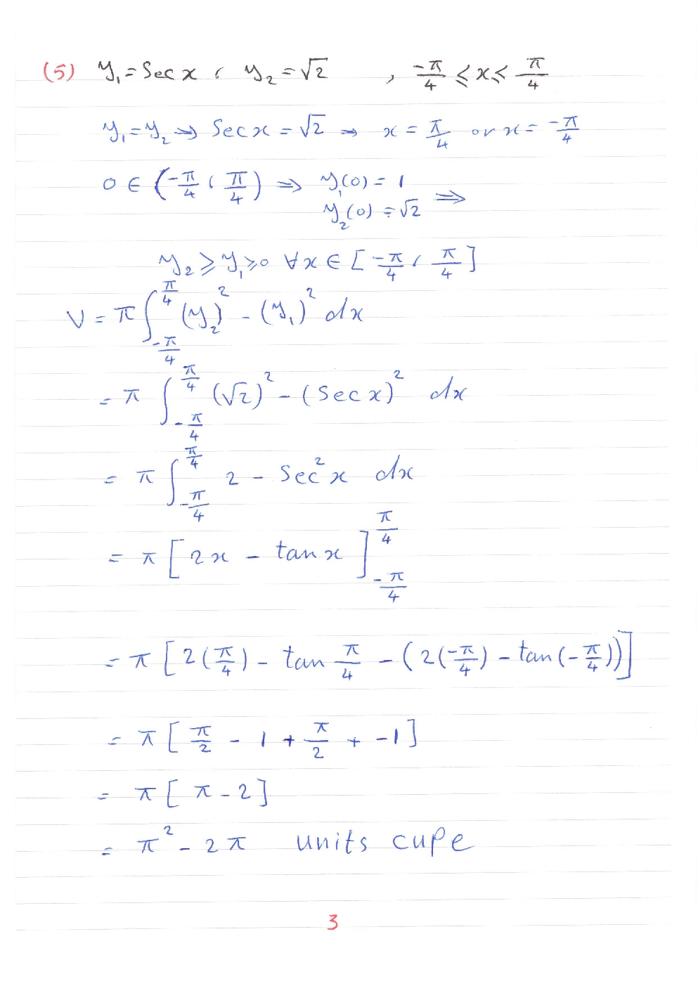
من 5