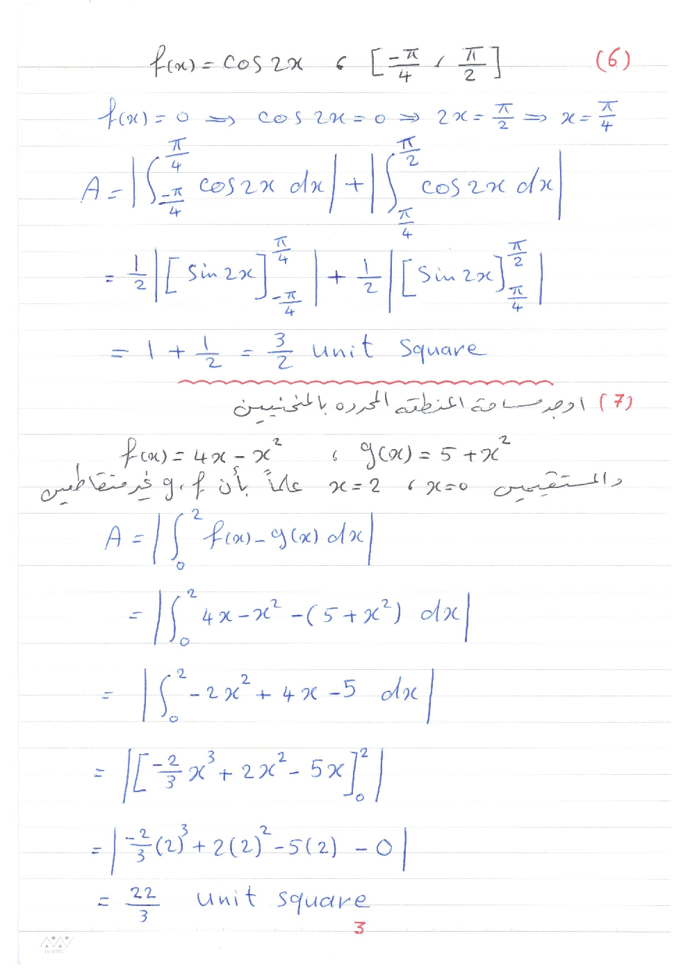
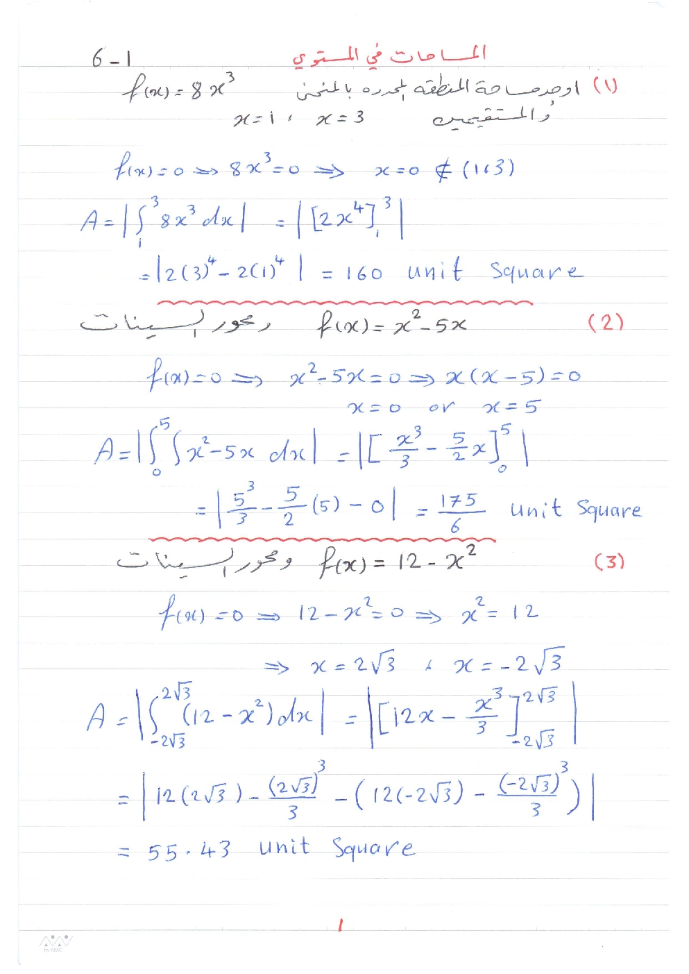
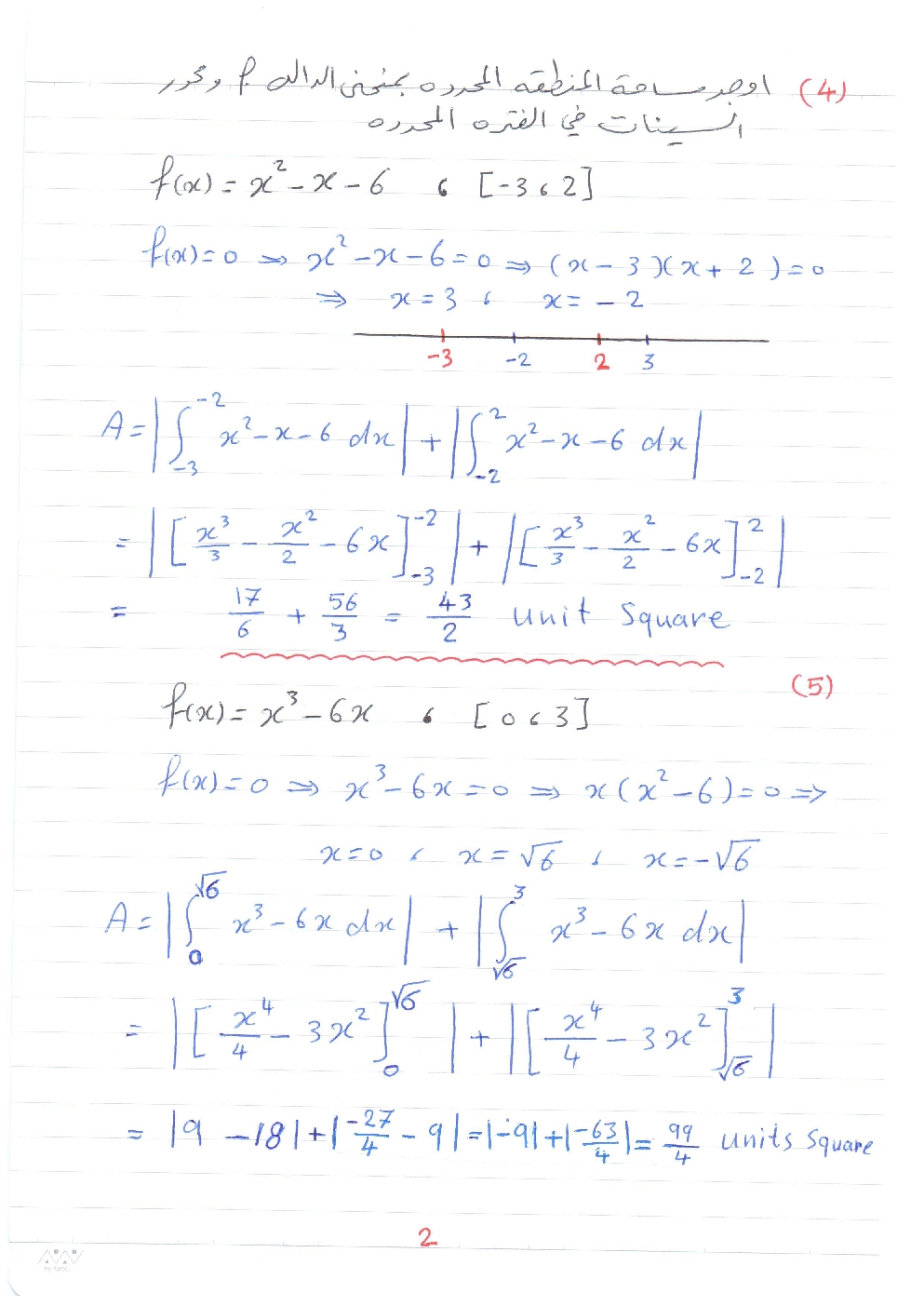
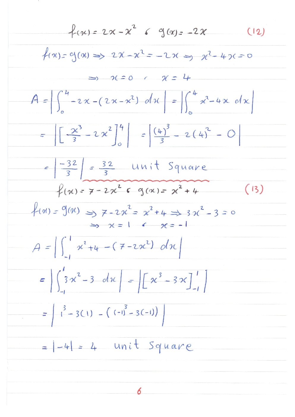
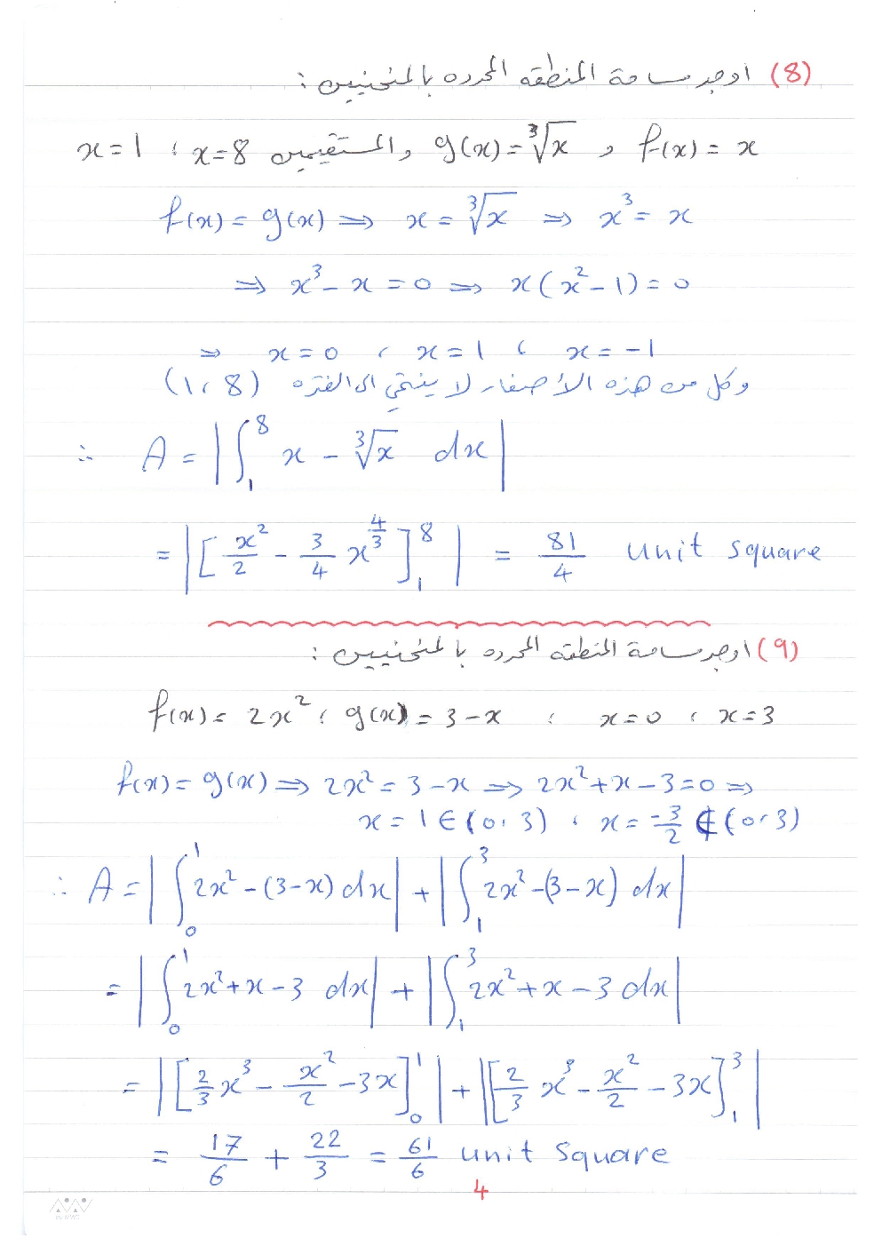
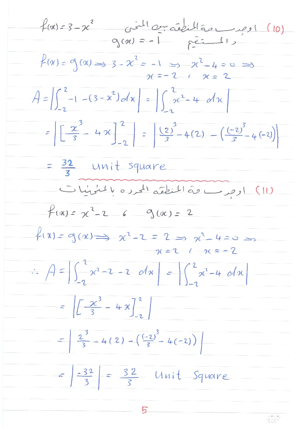
من 44