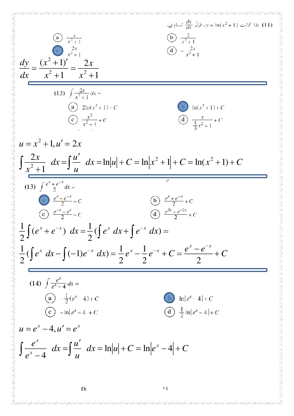
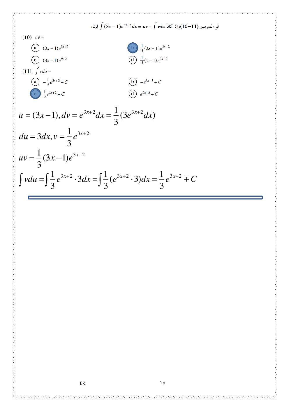
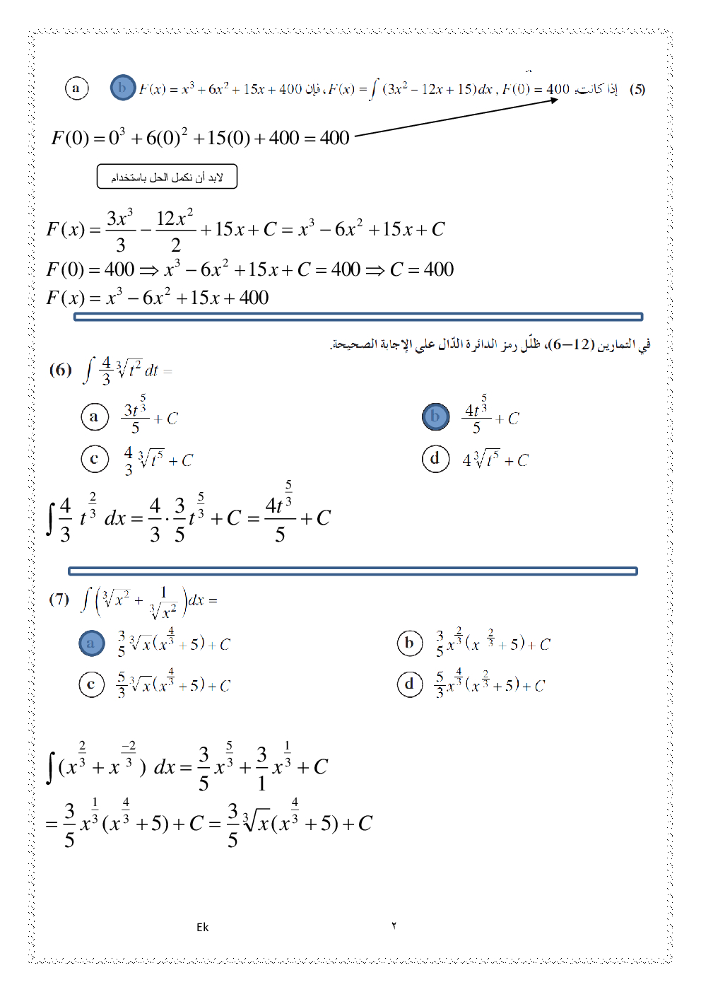
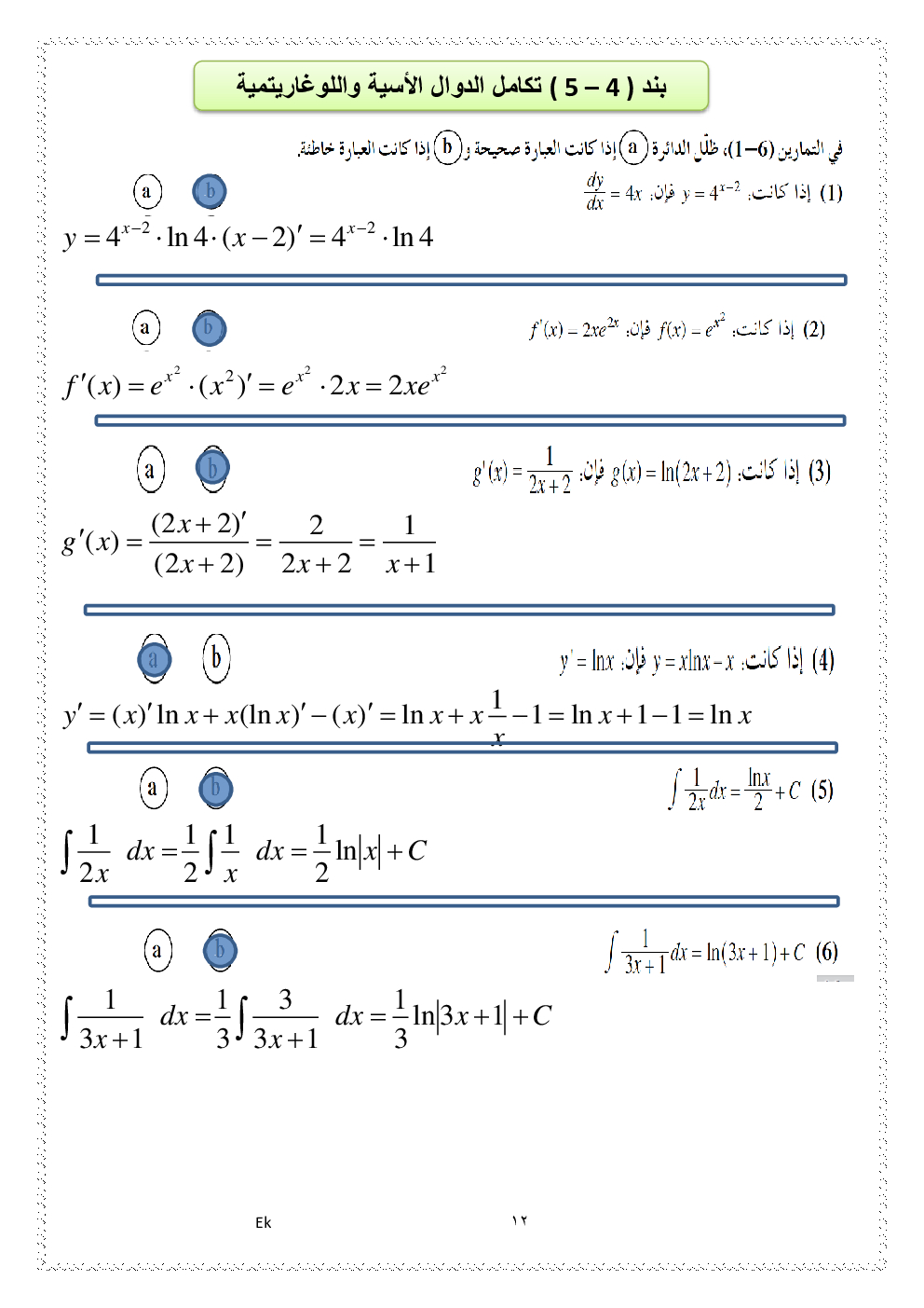
من 69