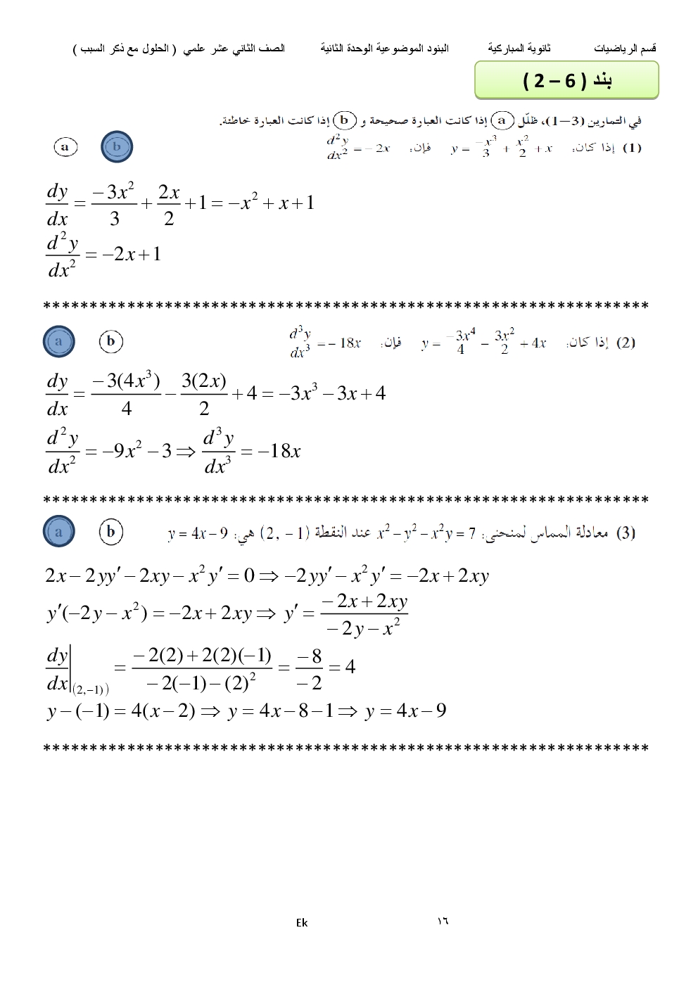
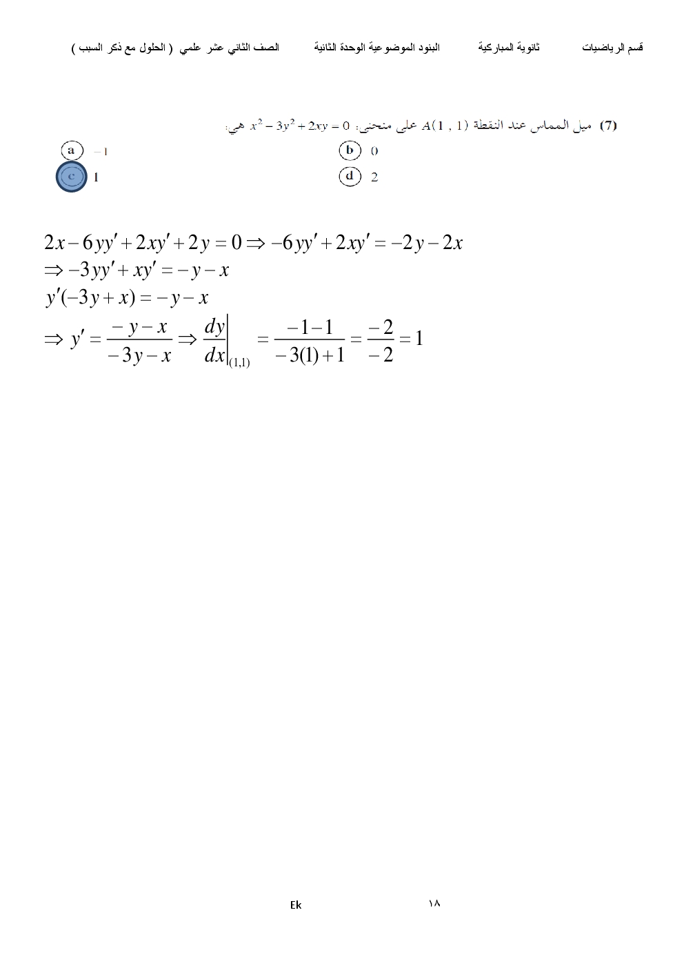
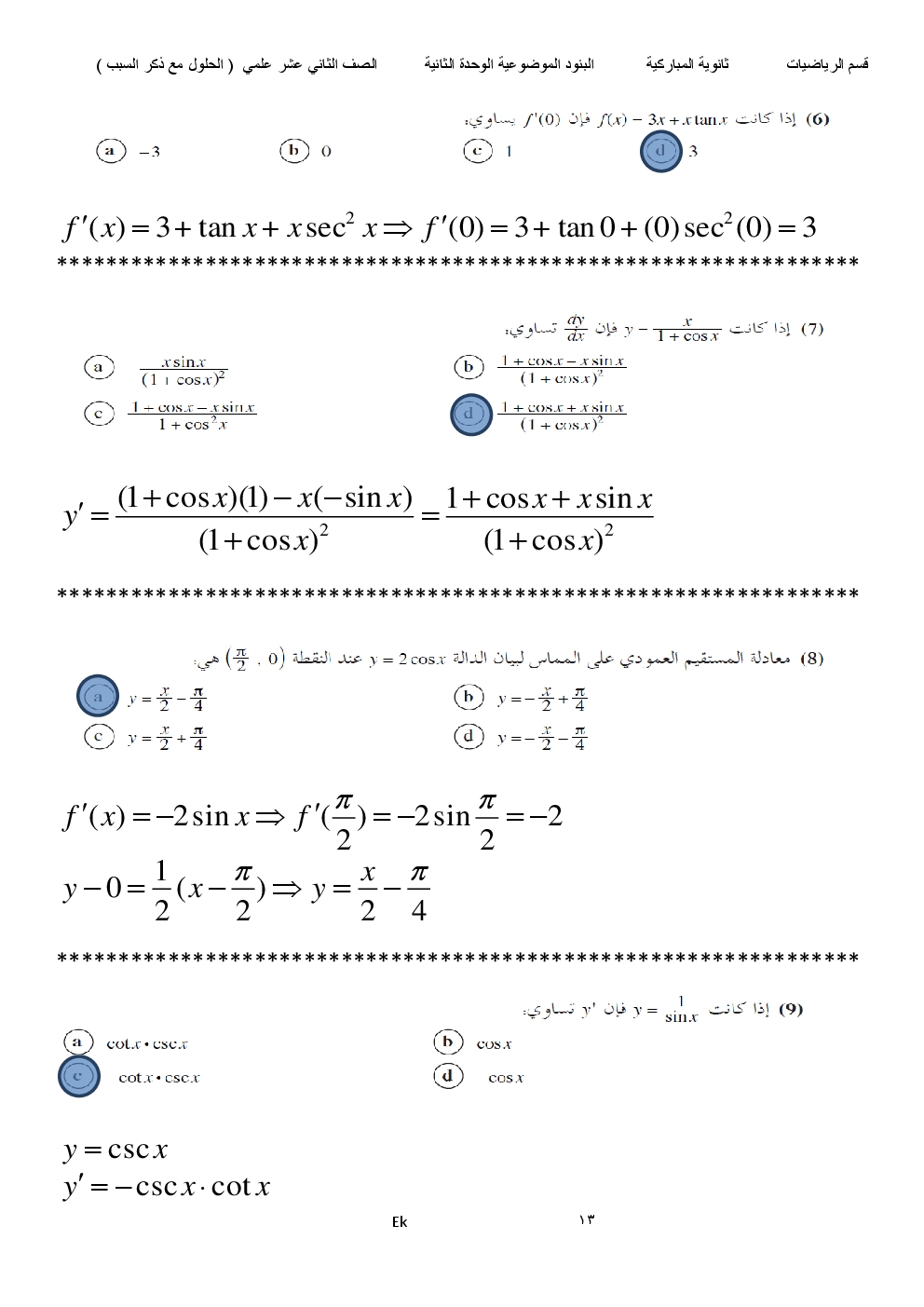
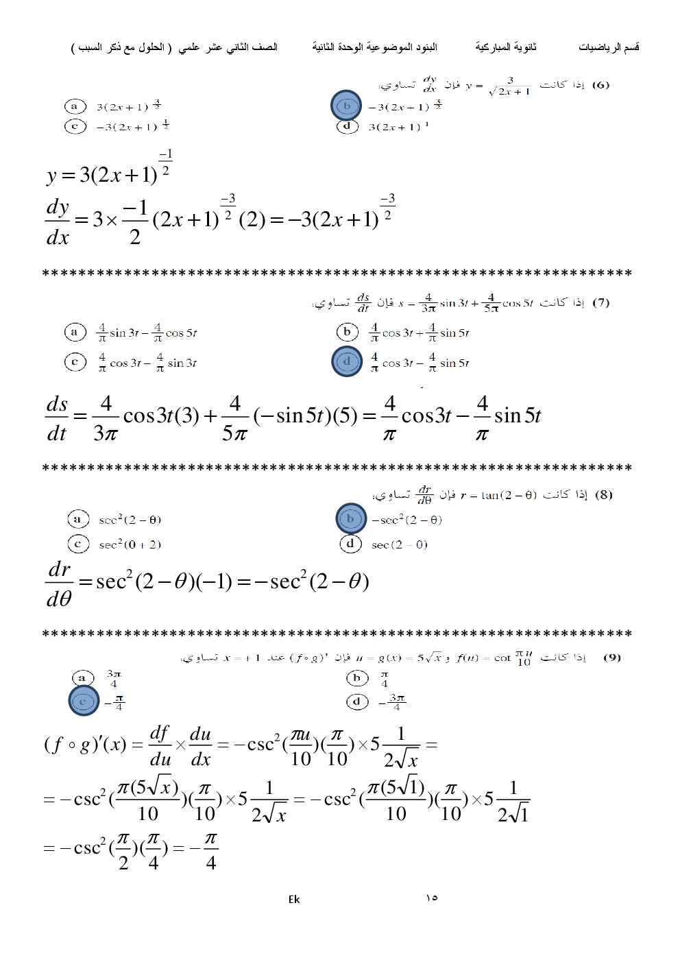
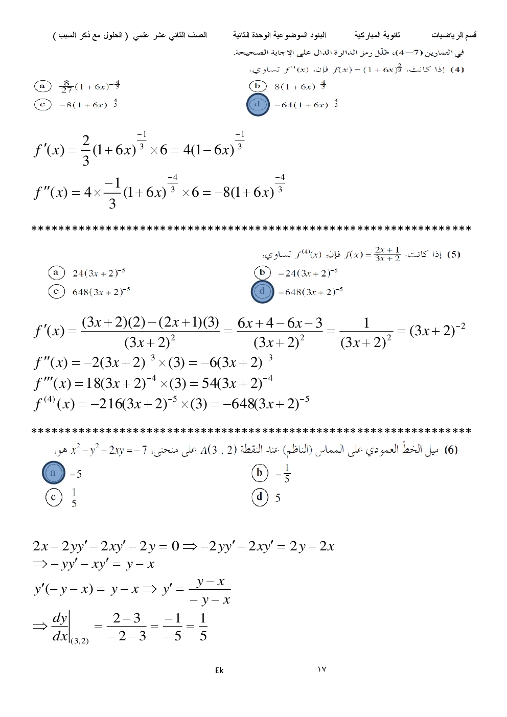
من 24