من 51
  • التكامل غير المحدد
  • التكامل بالتعويض
  • تكامل الدوال المثلثية
  • الدوال الأسية واللوغاريتمية
  • التكامل بالتجزيء
  • التكامل باستخدام الكسور الجزئية
  • التكامل المحدد
  • المساحات في المستوي
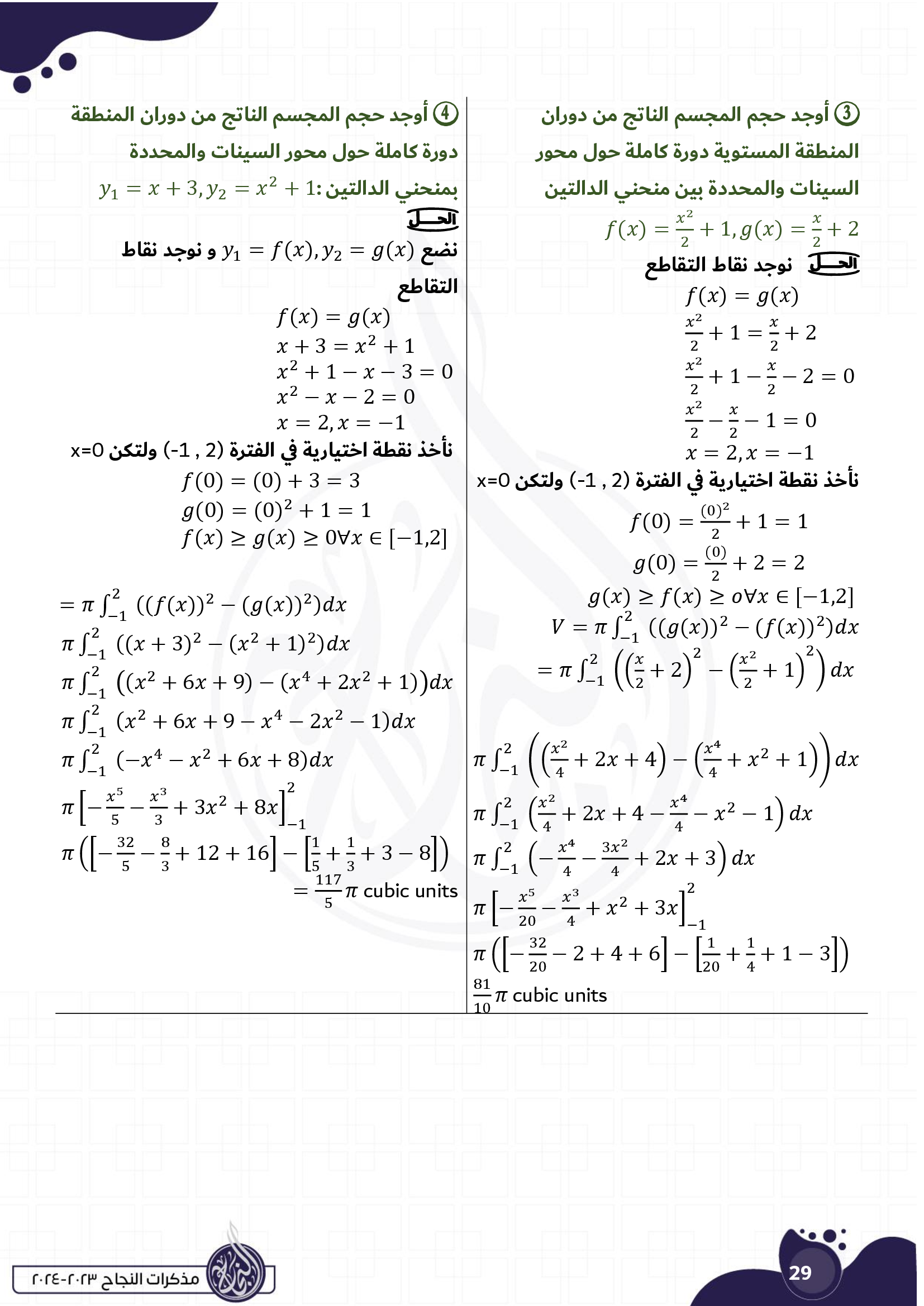
  • حجوم الأجسام الدورانية
  • طول قوس ومعادلة منحنى دالة
  • المعادلات التفاضلية
  • القطوع المخروطية - القطع المكافئ
  • القطع الناقص
  • القطع الزائد
  • الاختلاف المركزي
  • المتغيرات العشوائية المتقطعة
  • المتغيرات العشوائية المتصلة (المستمرة)