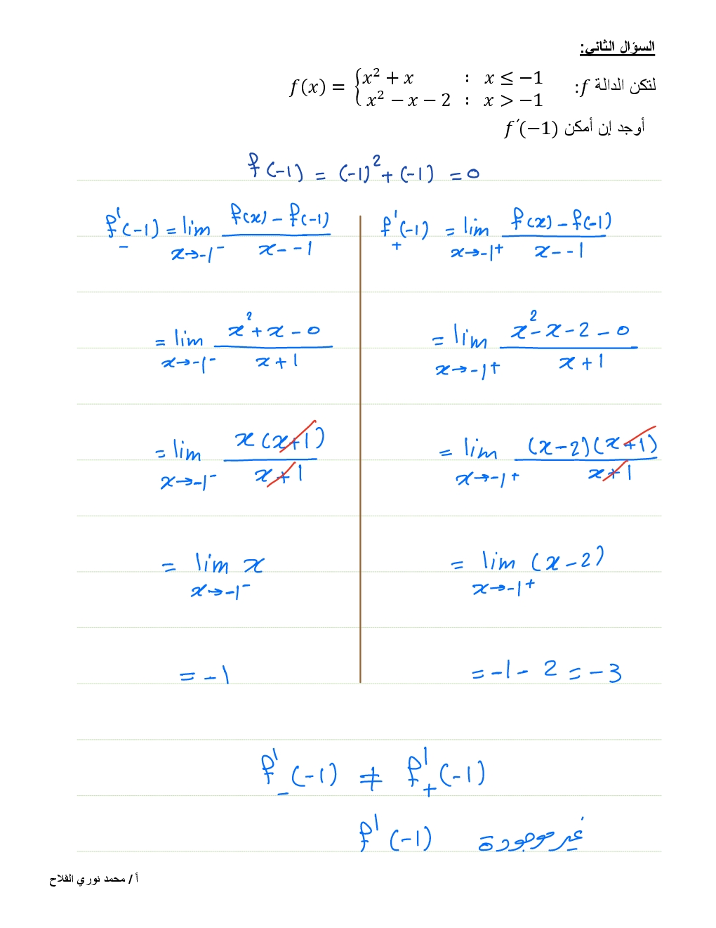
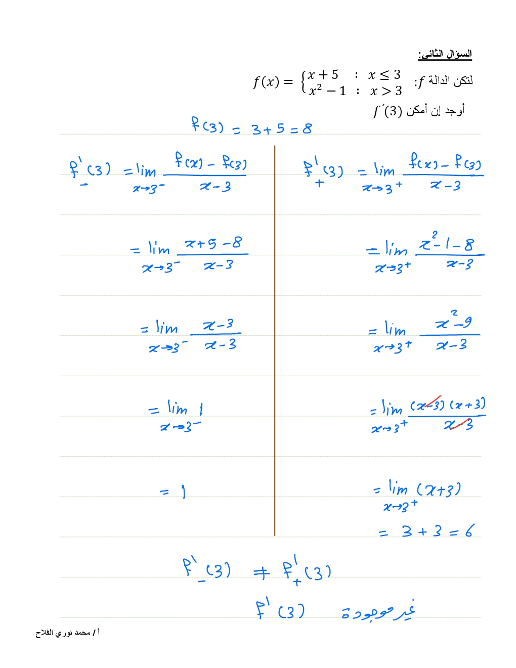
من 16