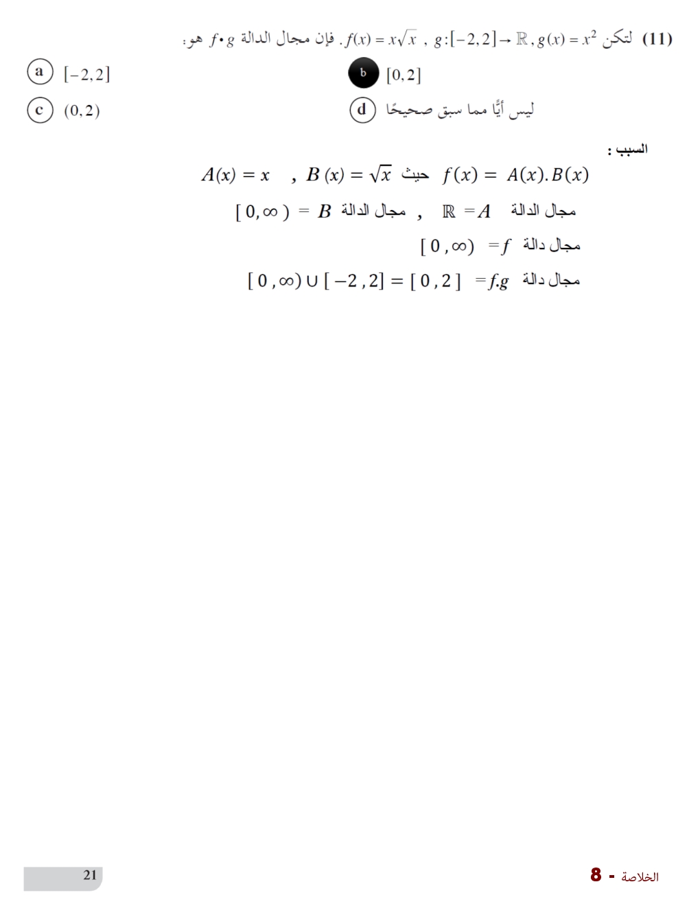
من 12