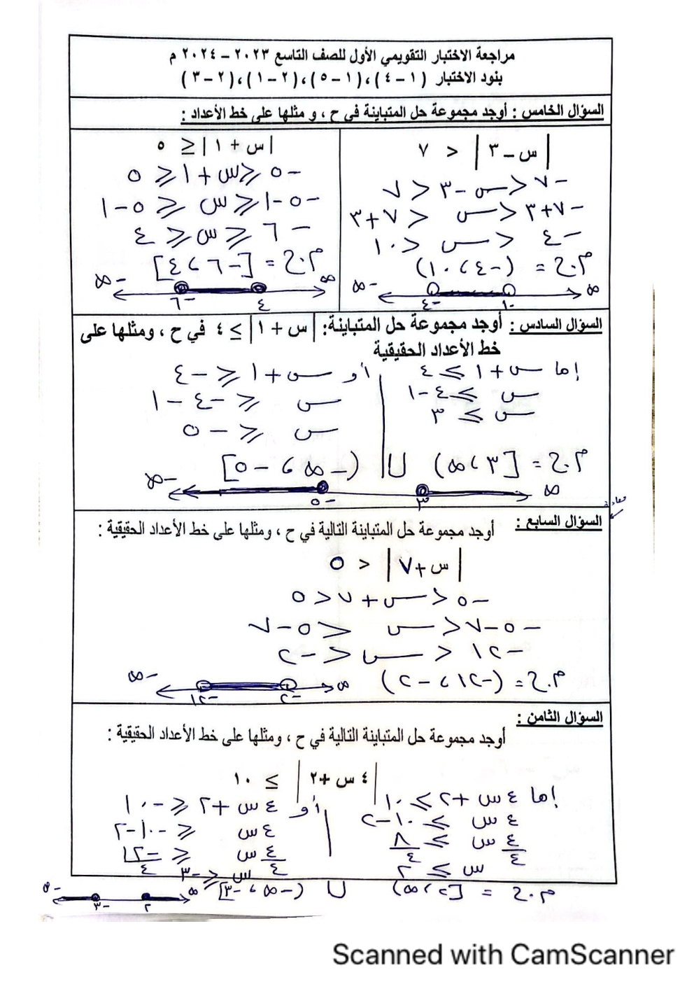
من 74