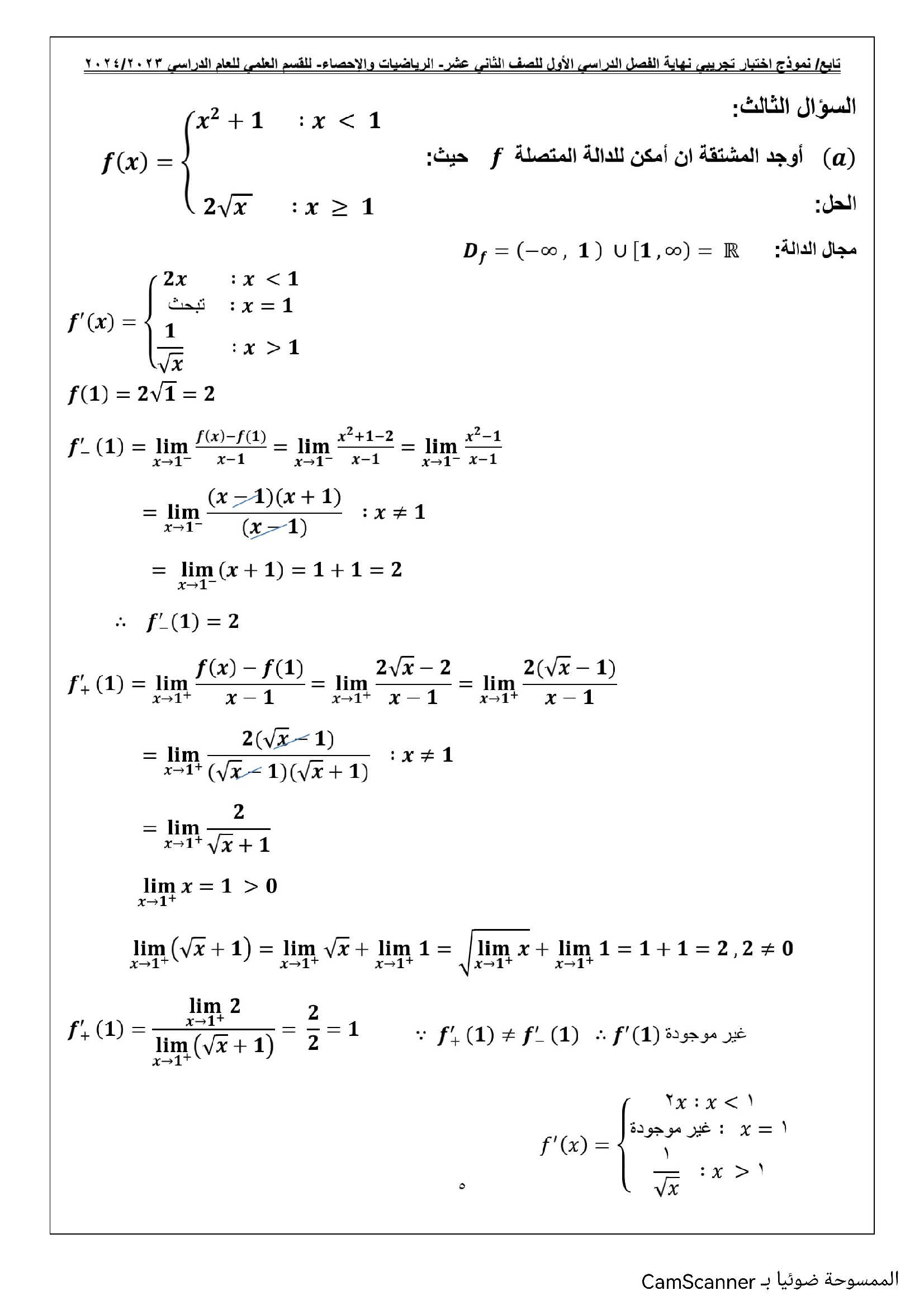
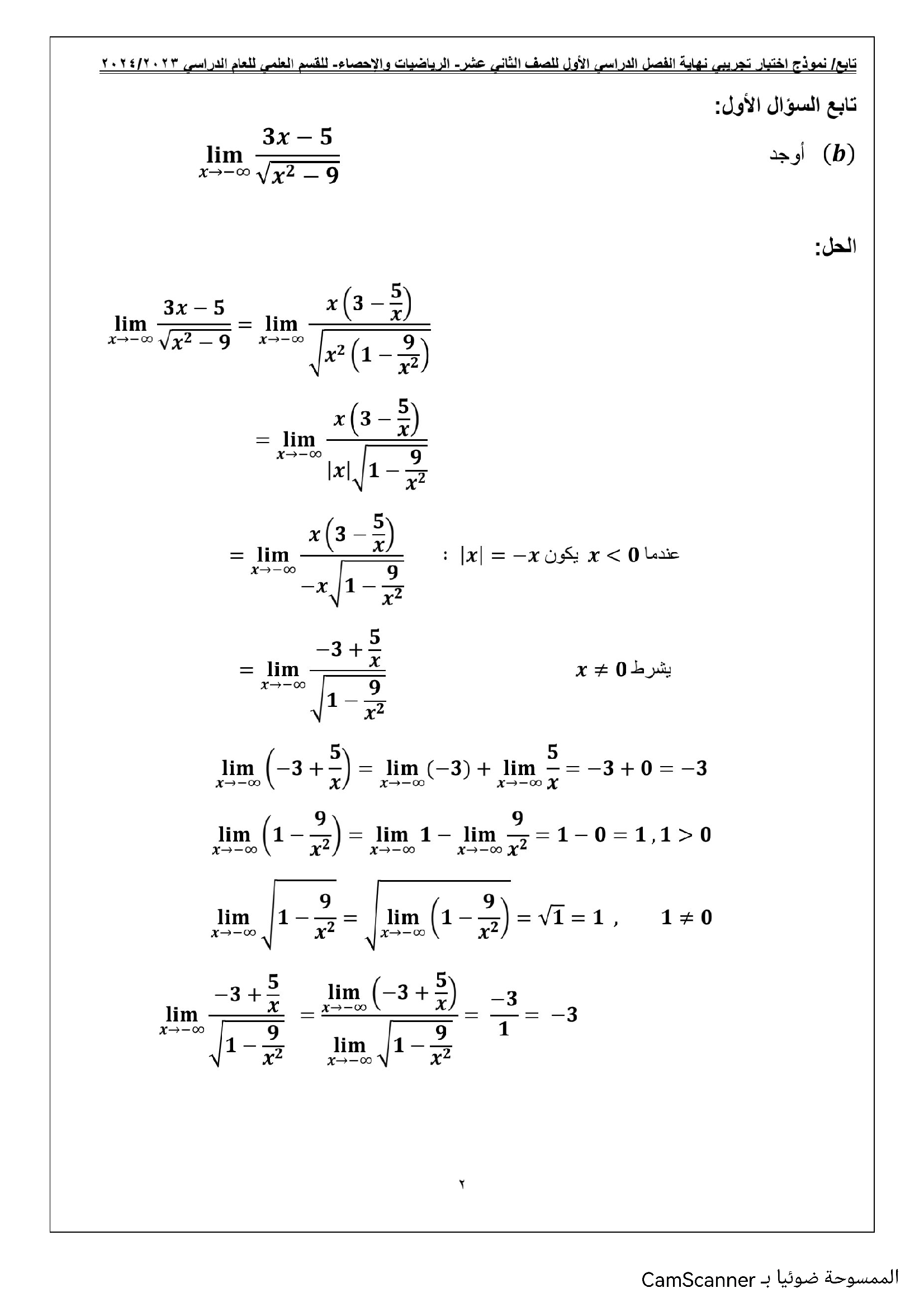
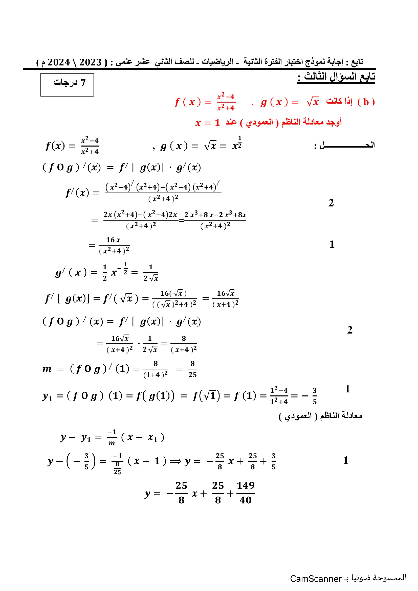
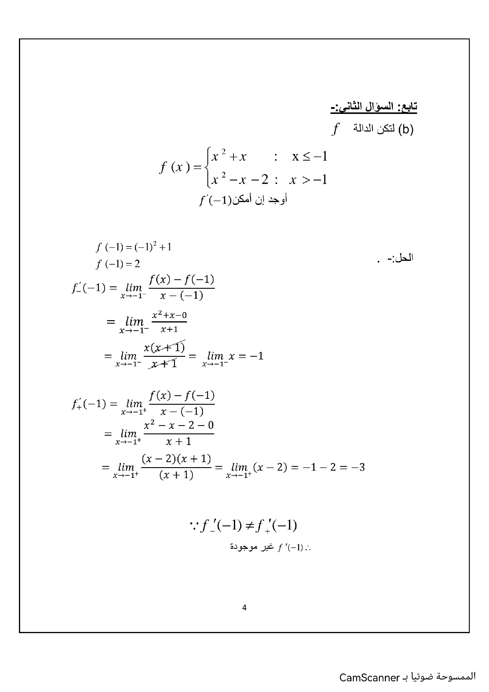
من 51