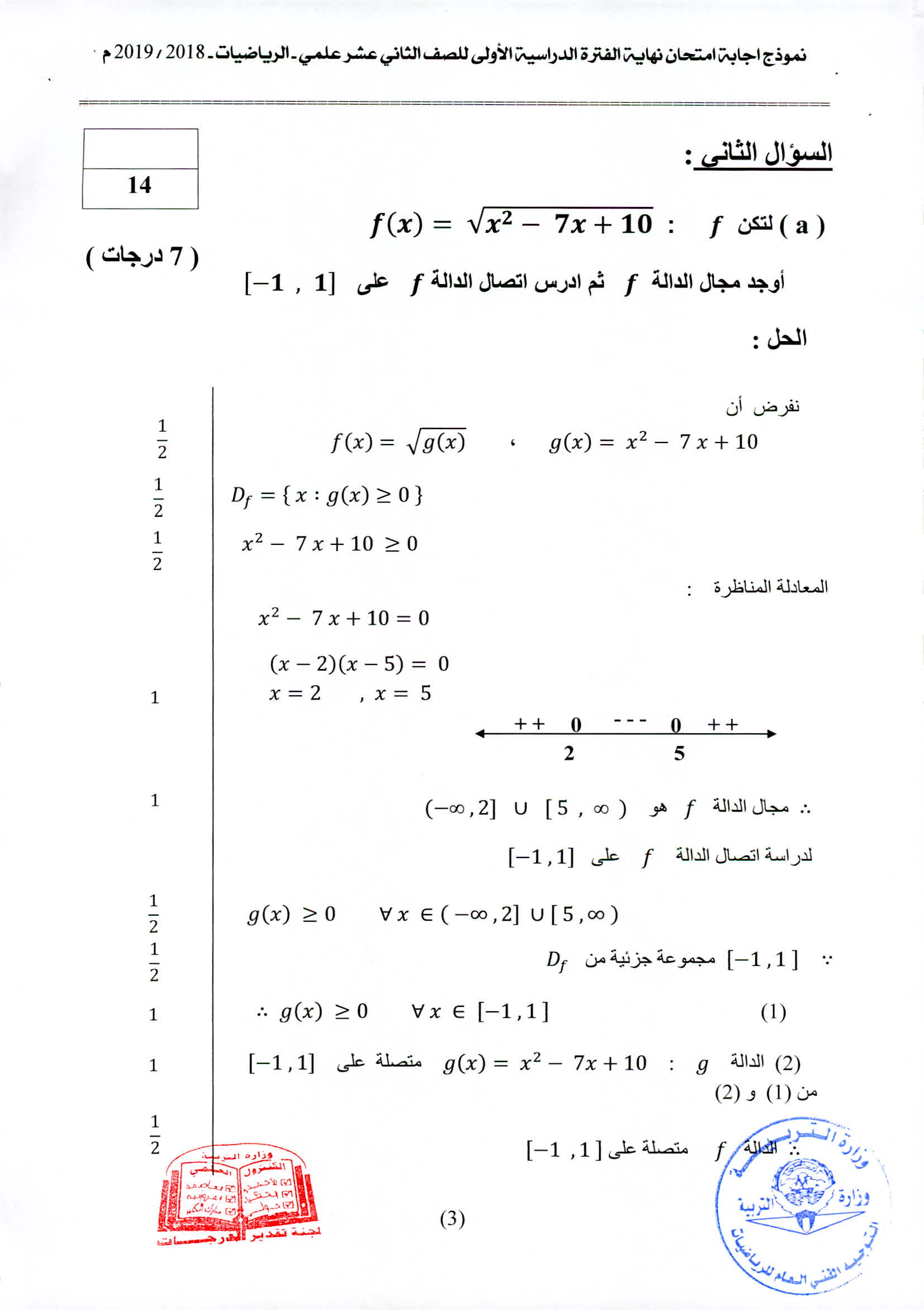
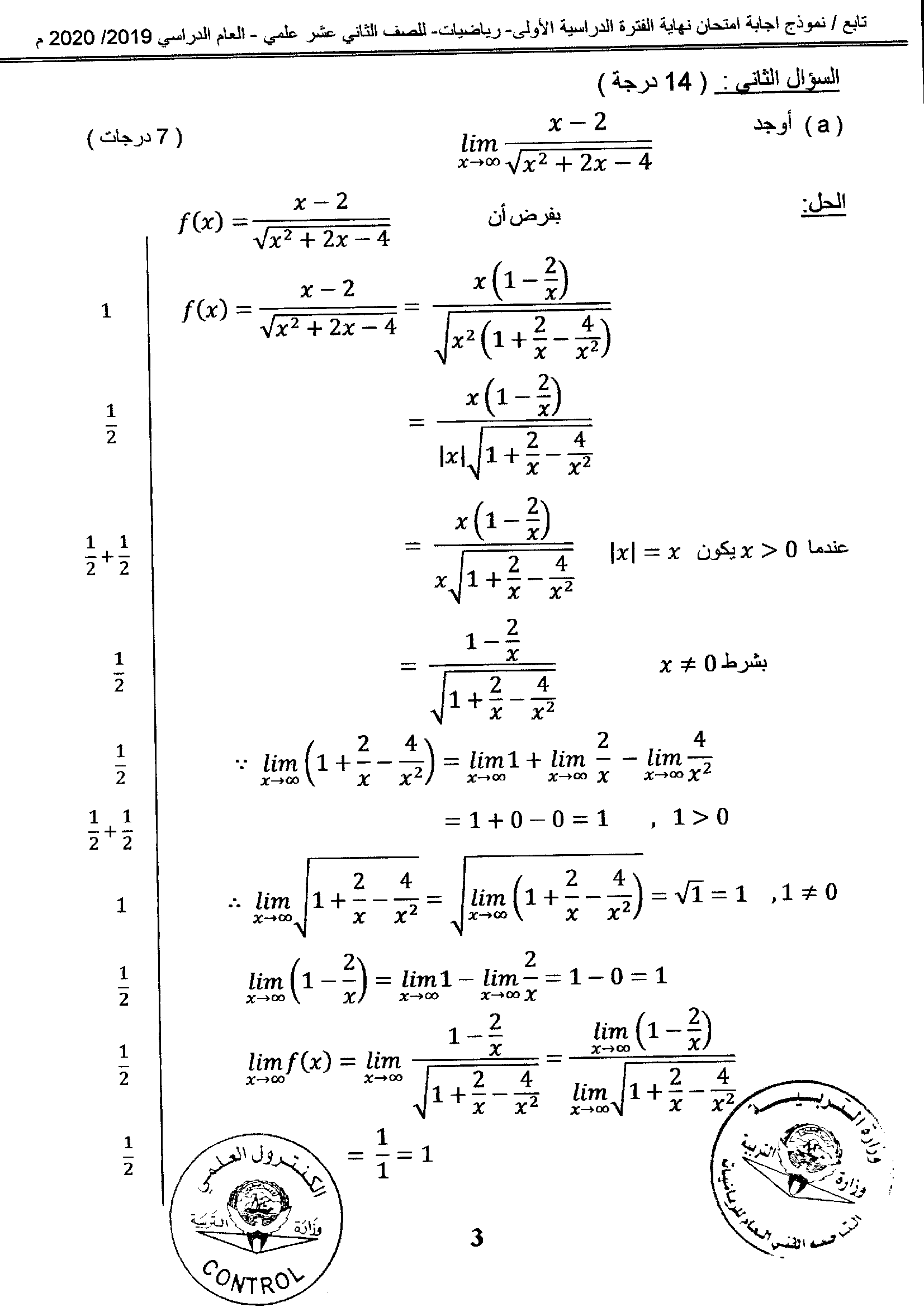
من 95