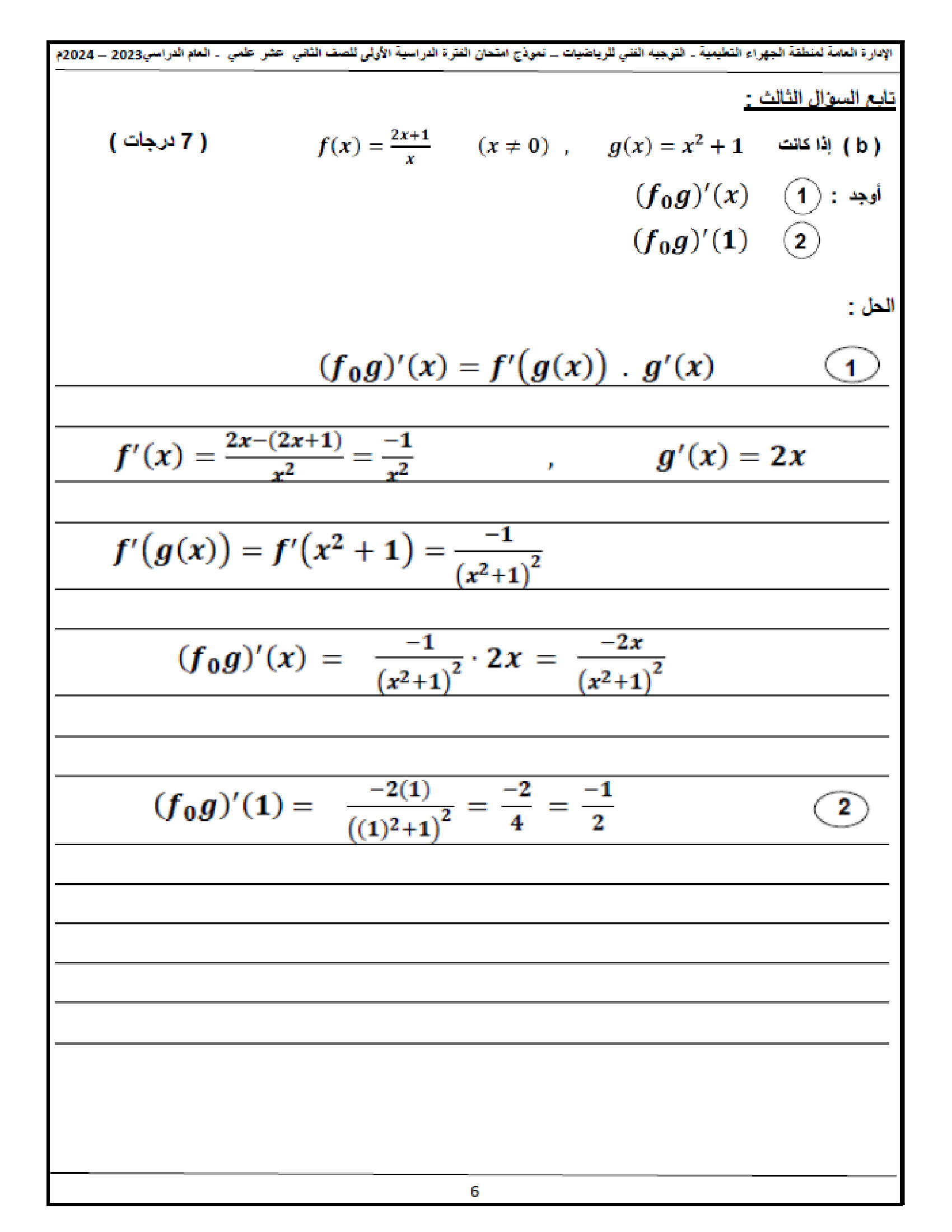
من 22