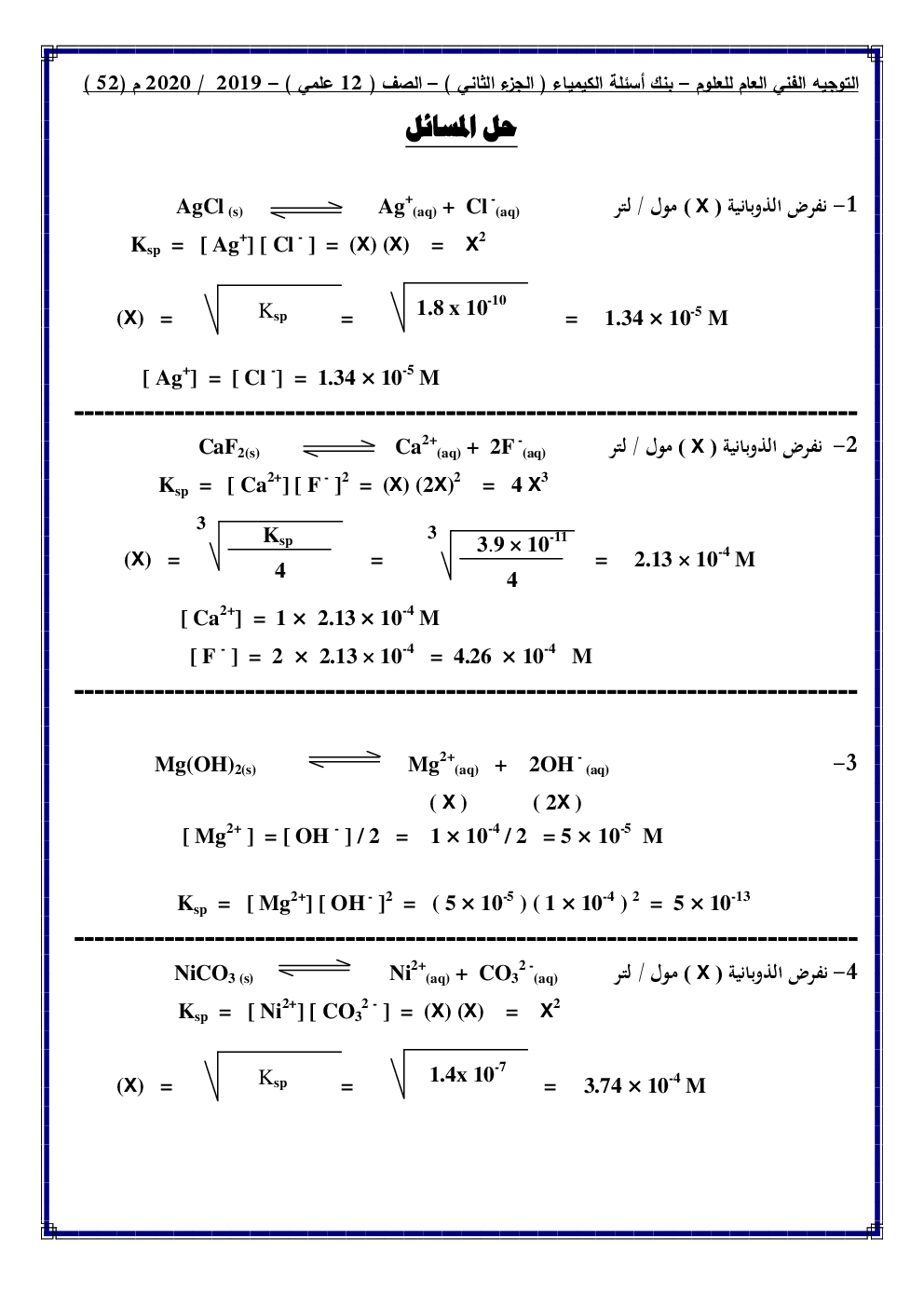
من 140